Đề thi học kì 2 môn Toán lớp 11 tỉnh Nam Định năm học 2015 - 2016
Đề thi học kì 2 môn Toán lớp 11
Đề thi học kì 2 môn Toán lớp 11 tỉnh Nam Định năm học 2015 - 2016 là đề thi học kì II môn Toán lớp 11 có đáp án đi kèm được VnDoc.com sưu tầm và đăng tải. Đây là tài liệu học tập hay giúp các bạn củng cố kiến thức, ôn thi cuối năm hiệu quả. Mời các bạn cùng tham khảo.
Đề thi học kì 2 môn Toán lớp 11 trường THPT Marie Curie năm học 2015 - 2016
Đề thi học kì 2 môn Toán lớp 11 trường THPT Chu Văn An, Hà Nội năm học 2015 - 2016
| SỞ GIÁO DỤC VÀ ĐÀO TẠO TỈNH NAM ĐỊNH |
ĐỀ KHẢO SÁT CHẤT LƯỢNG HỌC KÌ II NĂM HỌC 2015 – 2016 Môn: TOÁN, Lớp 11 (Thời gian làm bài: 90 phút) |
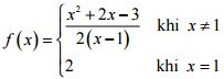
Câu 1 (2,0 điểm): Xét tính liên tục của hàm số
tại điểm x = 1.
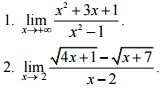
Câu 2 (2,0 điểm): Tính các giới hạn:

Câu 3 (2,0 điểm):
- Giải phương trình cos2x - 3cosx + 2 = 0.
- Trong một chiếc hộp có 4 viên bi gồm 6 viên màu bi xanh và 8 viên bi màu vàng, lấy ngẫu nhiên ra 3 viên bi. Tính xác suất để 3 viên bi lấy được có đủ 2 màu.
Câu 4 (3,0 điểm): Cho hình chóp S.ABCD có đáy ABCD là hình thang đáy AB và CD, cạnh bên SA vuông góc đáy ABCD. Biết
AB = 2CD, BC = CD = AD, góc giữa đường thẳng SB và mặt phẳng (ABCD) bằng 45o. Gọi M là trung điểm của AB.
- Chứng minh đường thẳng DM song song với mp(SBC).
- Chứng minh mp(SAD) ⊥ mp(SBD).
- Tính cosin góc giữa đường thẳng SB và đường thẳng AC.
Câu 5 (1,0 điểm): Cho hàm số
.
Tìm các giá trị x > 0 thỏa mãn ![]()
Đáp án đề thi học kì 2 môn Toán lớp 11


