Đề thi học kì 2 môn Toán lớp 11 trường THPT Đa Phúc, Hà Nội năm học 2015 - 2016
Đề thi học kì 2 môn Toán lớp 11
Đề thi học kì 2 môn Toán lớp 11 trường THPT Đa Phúc, Hà Nội năm học 2015 - 2016 là đề kiểm tra học kì II lớp 11 có đáp án đi kèm. Đây là đề thi ôn tập hữu ích dành cho các bạn học sinh lớp 11, giúp các bạn củng cố và luyện tập kiến thức cuối năm hiệu quả.
Đề thi học kì 2 môn Ngữ văn lớp 11 trường THPT Đa Phúc, Hà Nội năm học 2015 - 2016
Đề thi học kì 2 môn Hóa học lớp 11 trường THPT Đa Phúc, Hà Nội năm học 2015 - 2016
|
TRƯỜNG THPT ĐA PHÚC Năm học 2015-2016 --------š&›--------- |
ĐỀ KIỂM TRA HỌC KỲ 2 Môn: Toán – Lớp 11 (Thời gian làm bài 90 phút không kể thời gian phát đề). |
Câu 1.(1,0 điểm) Tìm các giới hạn sau:
![]()
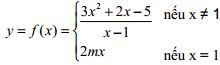
Câu 2.(1,0 điểm)
Tìm các giá trị của tham số m để hàm số
liên tục tại x = 1.
Câu 3.(2,5 điểm) Tính đạo hàm của các hàm số sau:
![]()
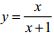
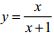
Câu 4. (1,5 điểm) Cho hàm số
có đồ thị (C).
a) Giải phương trình y' = 4.
b) Tìm tọa độ điểm M thuộc (C) biết tiếp tuyến của (C) tại M cắt hai trục Ox, Oy lần lượt tại A, B sao cho tam giác OAB có diện tích bằng 8.
Câu 5. (4,0 điểm) Cho hình chóp S.ABCD có đáy ABCD là hình chữ nhật tâm O, AB = 2AD = 2a, SA vuông góc với mặt phẳng (ABCD), SA = a. Gọi I là trung điểm của cạnh CD.
a) Chứng minh rằng AB ⊥ (SAD).
b) Chứng minh rằng (SAI) ⊥ (SBI).
c) Tính góc giữa đường thẳng AC và mặt phằng (SBI).
d) Tính khoảng cách giữa đường thẳng SO và đường thẳng AI theo a.
Đáp án đề thi học kì 2 môn Toán lớp 11



