Đề thi học kì 2 môn Vật lý lớp 11 trường THPT Đa Phúc, Hà Nội năm học 2015 - 2016
Đề thi học kì 2 môn Vật lý lớp 11
Đề thi học kì 2 môn Vật lý lớp 11 trường THPT Đa Phúc, Hà Nội năm học 2015 - 2016 có đáp án được VnDoc.com sưu tầm và đăng tải là tài liệu ôn thi môn Vật lý học kì 2 và củng cố lại kiến thức hiệu quả dành cho các bạn học sinh lớp 11, giúp các bạn chuẩn bị tốt cho các bài thi, bài kiểm tra sắp tới một cách chủ động và linh hoạt nhất.
Đề thi học kì 2 môn Hóa học lớp 11 trường THPT Đa Phúc, Hà Nội năm học 2015 - 2016
Đề thi học kì 2 môn Ngữ văn lớp 11 trường THPT Đa Phúc, Hà Nội năm học 2015 - 2016
|
Trường THPT Đa Phúc Năm học: 2015-2016 Mã đề: VL02 |
KIỂM TRA HỌC KÌ II Môn: Vật lý - Lớp 11 Thời gian: 45 phút (Lưu ý: HS phải ghi mã đề thi vào bài làm) |
Phần I: Trắc nghiệm khách quan. (0,5 đ/câu)
Câu 1: Nhận xét nào sau đây là đúng?
A. Với thấu kính hội tụ, vật thật luôn cho ảnh lớn hơn vật
B. Với thấu kính phân kì, vật thật luôn cho ảnh lớn hơn vật
C. Với thấu kính hội tụ, vật thật luôn cho ảnh thật
D. Với thấu kính phân kì, vật thật luôn cho ảnh ảo
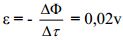
Câu 2: Một ống dây có hệ số tự cảm L = 0,1(H), cường độ dòng điện ống dây giảm đều đặn từ 2(A) về 0 trong khoảng thời gian 4(s). Suất điện động tự cảm xuất hiện trong ống dây trong khoảng thời gian đó là:
A. 0,03V B. 0,04V C. 0,05V D. 0,06V
Câu 3: Đơn vị đo từ thông là:
A. Tesla (T) B. Henry (H) C. Vêbe (Wb) D. Tesla.giây (T.s)
Câu 4: Lăng kính có góc chiết quang A = 600, chùm sáng song song qua lăng kính có góc lệch cực tiểu Dm = 420. Chiết suất của lăng kính gần giá trị là:
A. n = 1,55 B. n = 1,43 C. n = 1,50 D. n = 1,33
Câu 5: Phát biểu nào dưới đây là sai :
Suất điện động tự cảm có giá trị lớn khi
A. dòng điện tăng nhanh B. dòng điện giảm nhanh
C. dòng điện có giá trị lớn D. dòng điện biến thiên nhanh
Câu 6: Tỉ số nào sau đây có giá trị bằng chiết suất tỉ đối n12 của môi trường (1) đối với môi trường (2) (các kí hiệu có ý nghĩa thường dùng trong bài học)?

Phần II: Tự luận
Bài 1 (3,0 điểm): Một vòng dây dẫn tròn, phẳng có diện tích 0,04m2 được đặt vào trong từ trường đều cảm ứng từ B = 0,5T sao cho mặt phẳng vòng dây vuông góc với véc tơ cảm ứng từ
a) Chọn véc tơ pháp tuyến của vòng dây cùng hướng với
, tính từ thông qua mặt phẳng giới hạn vòng dây.
b) Giả thiết cảm ứng từ nơi đặt vòng dây giảm đều đặn từ giá trj trên về 0 trong thời gian 1 giây, tính suất điện động cảm ứng xuất hiện trong vòng dây trong khoảng thời gian từ trường biến đổi nói trên.
c) Trình bày một cách làm để tạo ra một suất điện động cảm ứng trong vòng dây nằm trong từ trường đều.
Bài 2 (4,0 điểm): Một thấu kính hội tụ có tiêu cự f1 = 10cm đặt trong không khí, vật sáng AB cao 2cm đặt vuông góc với trục chính của thấu kính và cách thấu kính một khoảng bằng d1 (điểm A nằm trên trục chính của thấu kính).
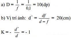
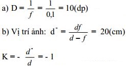
a) Tính độ tụ của thấu kính f1
b) Cho d = 20cm, hãy xác định vị trí ảnh A1B1 của vật AB tạo bởi thấu kính f1, số phóng đại ảnh và chiều cao của ảnh.
c) Tính khoảng cách AA1
d) Bây giờ người ta thay thấu kính f1 bằng thấu kính có tiêu cự f2, rồi đặt vật AB vuông góc với trục chính của thấu kính (f2) và cách thấu kính một khoảng d2, khi đó có ảnh thật nằm cách vật một khoảng nào đó. Nếu cho vật dịch lại gần thấu kính một khoảng 30cm thì ảnh tạo bởi thấu kính vẫn là ảnh thật nằm cách vật một khoảng như cũ và lớn lên gấp 4 lần. Hãy xác định f2 và d2.
Đáp án đề thi học kì 2 môn Vật lý lớp 11
I. Phần trắc nghiệm khách quan
Đề VL02: 1D 2C 3C 4A 5C 6B
II. Phần tự luận
Bài 1:
a) Ф = B.S.cosα = 0,04.0,5.1 = 0,02(wb)
b) ![]()
c) Để làm xuất hiện suất điện động cảm ứng trong vòng dây trong từ trường đều phải cho từ thông qua vòng dây biến thiên, vì từ trường không đổi nên có thể làm một trong các cách sau:
- Hoặc cho vòng dây quay đều quanh một trục cố định nằm trong mặt phẳng chứa vòng dây và trục này không song song với đường sức từ
- Hoặc cho vòng dây chuyển động theo một cách bất kì trừ các trường hợp sau:
- vòng dây chuyển động tịnh tiến
- vòng dây chuyển động xung quanh một trục cố định vuông góc với mặt phẳng chứa vòng dây
- mặt phẳng vòng dây luôn vuông góc với các đường cảm ứng từ
- mặt phẳng vòng dây luôn song song với đường sức từ
- Hoặc vòng dây bị biến dạng (cách này không khả thi)
Bài 2:

Chiều cao ảnh A1B1 = |K|AB = 2(cm)
c) AA1 = d1 + d''1 = 40(cm)
d) Ảnh thật nên thấu kính f2 là thấu kính hội tụ
có: ![]()
sau khi dịch chuyển khoảng cách từ vật và ảnh đến thấu kính lần lượt là (d2 - 30) cm và (d''2 + 30) nên ta có:
![]()
Mặt khác theo đề bài: k'' = 4k (5)
Lập được hệ các phương trình
Giải hệ (1), (2), (3), (4), (5) tìm được f2 = 20cm; d2 = 60cm.