Đề thi học kì 2 môn Toán lớp 11 trường THPT Thạch Thành 1, Thanh Hóa năm học 2015 - 2016
Đề thi học kì 2 môn Toán lớp 11 năm 2016
Đề thi học kì 2 môn Toán lớp 11 trường THPT Thạch Thành 1, Thanh Hóa năm học 2015 - 2016 gồm 5 câu hỏi có đáp án đi kèm, đây là đề thi cuối năm dành cho các bạn học sinh lớp 11, giúp các bạn củng cố và luyện tập kiến thức môn Toán hiệu quả. Mời các bạn tham khảo.
Đề thi học kì 2 môn Toán lớp 11 trường THPT Thị xã Quảng Trị năm học 2015 - 2016
Đề thi học kì 2 môn Toán lớp 11 trường THPT Chu Văn An, Hà Nội năm học 2015 - 2016
Đề thi học kì 2 môn Toán lớp 11 trường THPT Nguyễn Chí Thanh, TP. Hồ Chí Minh năm học 2015 - 2016
| TRƯỜNG THPT THẠCH THÀNH 1 |
ĐỀ KIỂM TRA HỌC KÌ II Năm học 2015 - 2016 Môn Toán Khối 11 Thời gian làm bài: 90 phút |
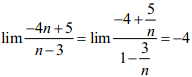
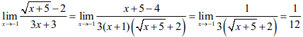
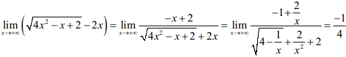
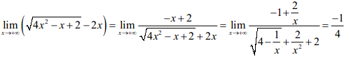
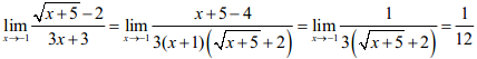
Câu 1: (2đ) Tính giới hạn của các dãy số, hàm số sau:

Câu 2: (2đ)
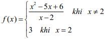
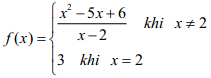
a) Xét tính liên tục của hàm số sau tại x = 2

b) Chứng minh phương trình -x3 + 2x2 + 7x + 1 = 0 có ít nhất 2 nghiệm trong khoảng (-1; 4).
Câu 3: (2đ)
a) Tính đạo hàm của hàm số ![]()
b) Cho hàm số y = -x3 + x - 2 có đồ thị (C). Viết phương trình tiếp tuyến với đồ thị (C) tại điểm M(2; -8)
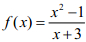
Câu 4: (1đ) Cho hàm số
. Chứng minh rằng y3y'' + 1 = 0.
Câu 5: (3đ) Cho hình chóp S.ABCD, có đáy ABCD là hình vuông cạnh a, tam giác SAD là tam giác đều, (SAD) vuông góc với mặt phẳng đáy.
a) Gọi I là trung điểm của AD. Chứng minh SI ⊥ (ABCD).
b) Tính tan của góc giữa đường thẳng SB và mặt phẳng (ABCD).
c) Tính khoảng cách giữa hai đường thẳng SA và BD.
Đáp án đề thi học kì 2 môn Toán lớp 11 năm 2016
Câu 1. a:

Câu 1. b:
![]()
Câu 1. c:

Câu 1. d:

Câu 2:

Hàm số f(x) = - x3 + 2x2 +7x + 1 liên tục trên -1; 4
f(-1) = - 3; f(0)= 1: f(4) = -3
suy ra phương trình có ít nhất 2 nghiệm thuộc khoảng (-1; 4)
(Còn tiếp)