Đề thi học kì 2 môn Toán lớp 11 trường THPT Thị xã Quảng Trị năm học 2015 - 2016
Đề thi học kì 2 môn Toán lớp 11 năm 2016
Đề thi học kì 2 môn Toán lớp 11 trường THPT Thị xã Quảng Trị năm học 2015 - 2016 gồm 5 câu hỏi có đáp án đi kèm. Đây là đề thi ôn tập hữu ích dành cho các bạn học sinh lớp 11, giúp các bạn chuẩn bị và củng cố kiến thức môn Toán hiệu quả. Mời các bạn tham khảo.
Đề thi học kì 2 môn Toán lớp 11 trường THPT Chu Văn An, Hà Nội năm học 2015 - 2016
Đề thi giữa học kì 2 môn Toán lớp 11 trường THPT Lý Thái Tổ, Bắc Ninh năm học 2015 - 2016
Đề thi học kì 2 môn Toán lớp 11 trường THPT Nguyễn Chí Thanh, TP. Hồ Chí Minh năm học 2015 - 2016
|
SỞ GD&ĐT QUẢNG TRỊ TRƯỜNG THPT TX QUẢNG TRỊ |
ĐỀ THI HỌC KỲ II NĂM HỌC 2015 - 2016 MÔN TOÁN KHỐI 11 Thời gian làm bài: 90 phút. (Không kể thời gian phát đề) |
Câu 1: (1.5 điểm).
Tính các giới hạn sau:
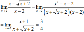
a) ![]()
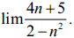
b) ![]()
Câu 2: (1.5 điểm).
Cho hàm số: 
Tìm m để hàm số liên tục tại x = 3.
Câu 3: (2 điểm). Cho hai hàm số: ![]()
a) Giải bất phương trình: f'(x) > 0.
b) Giải phương trình: g'(x) = 0.
Câu 4: (2 điểm).
Cho hàm số: y = 2x3 - 3x + 1 có đồ thị là (C),
a) Viết phương trình tiếp tuyến của (C) tại điểm có hoành độ x = 3.
b) Viết phương trình tiếp tuyến của (C) biết rằng tiếp tuyến đó song song với đường thẳng d: y = 3x - 2016.
Câu 5: (3 điểm).
Cho hình chóp SABCD có đáy ABCD là hình vuông cạnh a, SA ⊥ (ABCD), SA = a√2.
a) Chứng minh BC ⊥ (SAB) và (SAC) ⊥ (SBD)
b) Tính tanα với α là góc giữa SC và (SAB).
c) Gọi M là trung điểm của SA, H là hình chiếu của S trên (BCM). Tính SH theo a.
Đáp án đề thi học kì 2 môn Toán lớp 11 năm 2016
C1a.

C1b.

C2.

(Còn tiếp)