Đề thi học kì 2 môn Toán lớp 11 trường THPT Nguyễn Chí Thanh, TP. Hồ Chí Minh năm học 2015 - 2016
Đề thi học kì 2 môn Toán lớp 11
Đề thi học kì 2 môn Toán lớp 11 trường THPT Nguyễn Chí Thanh, TP. Hồ Chí Minh năm học 2015 - 2016 là đề kiểm tra học kì II môn Toán lớp 11 có đáp án dành cho các bạn tham khảo, ôn tập, hệ thống chương trình Toán lớp 11, chuẩn bị sẵn sàng cho kì thi cuối năm lớp 11.
Đề thi học kì 2 môn Toán lớp 11 trường THPT Phan Ngọc Hiển, Cà Mau năm 2015
Đề thi học kì 2 môn Toán lớp 11 trường THPT Đa Phúc, Hà Nội năm 2015
| SỞ GIÁO DỤC ĐÀO TẠO TP. HỒ CHÍ MINH THPT NGUYỄN CHÍ THANH |
ĐỀ KIỂM TRA HK2 – NĂM HỌC 2015 - 2016 Môn: TOÁN – Khối 11 Thời gian làm bài: 90 phút |
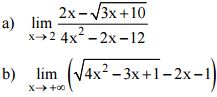
Bài 1. (2đ) Tính giới hạn các hàm số sau:

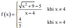
Bài 2. (1đ) Cho hàm số: 
Xét tính liên tục của hàm số trên tại xo = 4.
Bài 3. (1,5đ) Tính đạo hàm các hàm số sau:

Bài 4. (0,5đ) Cho hàm số y = x3 - 3x2 + 2. Giải bất phương trình y' < 9.
Bài 5. (1đ) Cho hàm số
có đồ thị (C). Viết phương trình tiếp tuyến của (C), biết tiếp tuyến vuông góc với đường thẳng (d): x + 2y − 7 = 0.
Bài 6. (4đ) Cho hình chóp S.ABC có SA ⊥ (ABC), SA = a; tam giác ABC vuông tại B, AB = a, AC = 2a. Gọi H, K là hình chiếu vuông góc của A lần lượt trên SB, SC.
a) Chứng minh rằng: (SAB) ⊥ (SBC).
b) Chứng minh rằng: SC ⊥ (AHK).
c) Tính góc giữa đường thẳng SB với mặt phẳng (AHK).
d) Tính khoảng cách từ điểm H đến mặt phẳng (SAC).
Đáp án đề thi học kì 2 môn Toán lớp 11

