Đề thi học kì 2 môn Toán lớp 11 trường THPT Phan Ngọc Hiển, Cà Mau năm 2015
Đề thi học kì 2 môn Toán lớp 11 có đáp án
Đề thi học kì 2 môn Toán lớp 11 trường THPT Phan Ngọc Hiển, Cà Mau năm 2015 gồm 4 câu hỏi chung và 2 câu hỏi riêng theo từng chương trình Chuẩn và Nâng cao. Đề kiểm tra học kỳ II môn Toán lớp 11 có đáp án đi kèm, giúp các bạn tra cứu một cách thuận tiện sau khi đã làm xong. Mời các bạn tham khảo.
Đề thi học kì 2 môn Toán lớp 11 trường THPT Đa Phúc, Hà Nội năm 2015
Đề thi giữa học kì 2 môn Toán lớp 11 trường THPT Hiệp Bình, Hồ Chí Minh năm 2014 - 2015
ĐỀ KIỂM TRA HỌC KỲ II, NĂM HỌC 2014 - 2015
MÔN: TOÁN 11 (cho cả hai ban)
Thời gian: 90 phút (không kể thời gian phát đề)
A. PHẦN CHUNG (7 điểm)
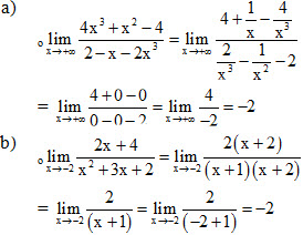
Câu 1: (2.0 điểm) Tính các giới hạn sau:
![]()
Câu 2: (1.0 điểm)

Câu 3: (1.0 điểm) Tính đạo hàm của các hàm số sau:
a/ y = x3 - 3x2 + 5x + 2015
b/ y = (2x2 + 3)(4 - 3x)
Câu 4: (3.0 điểm) Cho hình chóp S.ABC có đáy ABC là tam giác vuông tại B, SA vuông góc với đáy.
a) Chứng minh tam giác SBC vuông.
b) Gọi H là chân đường cao vẽ từ B của tam giác ABC. Chứng minh (SAC) ⊥ (SBH).
c) Cho AB = a, BC = 2a. Tính khoảng cách từ B đến mặt phẳng (SAC).
B. PHẦN RIÊNG (3.0 điểm) (Học sinh học chương trình nào thì làm chương trình đó)
Chương trình chuẩn:
Câu 5a: (1.0 điểm) Chứng minh phương trình x4 = 5x - 3 có ít nhất một nghiệm thuộc khoảng (0; 2).
Câu 6a: (2.0 điểm) Cho hàm số y = f(x) = 2x2 - x4 có đồ thị (C).
a) Giải phương trình: f'(x) = 0
b) Viết phương trình tiếp tuyến của đồ thị (C) tại điểm có hoành độ bằng 1.
Chương trình nâng cao:
Câu 5b: (1.0 điểm) Chứng minh phương trình (m2 - 4)(x + 1)3(x - 3)2 + 2x - 5 = 0 (m là tham số) luôn có nghiệm với mọi m.
Câu 6b: (2.0 điểm) Cho hàm số y = f(x) = 4x2 - x4 có đồ thị (C).
a) Giải bất phương trình: f'(x) < 0.
b) Viết phương trình tiếp tuyến của đồ thị (C) tại giao điểm của (C) với trục tung.
Đáp án đề thi học kì 2 môn Toán lớp 11
Câu 1:

Câu 2:

Câu 3:
(Còn tiếp)