Đề thi giữa học kì 2 môn Toán lớp 11 trường THPT Hiệp Bình, Hồ Chí Minh năm 2014 - 2015
Đề thi giữa học kì 2 môn Toán lớp 11 có đáp án
Đề thi giữa học kì 2 môn Toán lớp 11 trường THPT Hiệp Bình, Hồ Chí Minh năm 2014 - 2015 gồm 3 câu hỏi có đáp án đi kèm, đây là tài liệu ôn thi học kỳ II hữu ích, giúp các bạn củng cố và luyện tập trước kì thi cuối năm môn Toán hiệu quả. Mời các bạn tham khảo.
Đề kiểm tra Hình học 1 tiết môn Toán lớp 11 học kì 2 trường THPT Buôn Ma Thuột, Đăk Lắk
Đề thi học kì II môn Toán lớp 11 trường THPT chuyên Hà Nội Amsterdam
Đề thi học kì 2 môn Toán lớp 11 trường THPT Lương Ngọc Quyến, Thái Nguyên
Sở giáo dục và đào tạo Thành phố Hồ Chí Minh
Trường THPT Hiệp Bình
ĐỀ KIỂM TRA GIỮA HỌC KỲ II
Khối 11 – Năm học 2014 - 2015
Thời gian: 60 phút (Không kể thời gian phát đề)
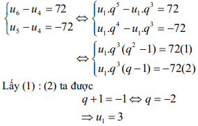
Câu 1: Cho cấp số nhân (un) có:

Tìm q và u1
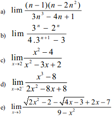
Câu 2: Tính các giới hạn sau

Câu 3: Cho hình chóp S.ABC có SA ⊥ (ABC), ABC là tam giác vuông cân tại B, SA = a√3, AB = a
a) Chứng minh BC ⊥ (SAB).
b) Gọi H là hình chiếu của A lên SB. Chứng minh SC ⊥ AH.
c) Xác định và tính góc giữa SB và mặt phẳng (SAC).
Đáp án đề thi giữa học kì 2 môn Toán lớp 11
Câu 1 Ta có:

Câu 2a

Câu 2b

Câu 2c
![]()
Câu 2d

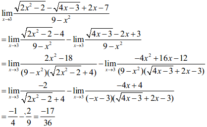
Câu 2e

Câu 3a
Ta có BC ⊥ SA (.....)
BC ⊥ AB (......)
→ BC ⊥ (SAB)
Câu 3b
Ta có AH ⊥ SB (.....)
AH ⊥ BC (......)
→ AH ⊥ (SBC)
→ AH ⊥ SC
Câu 3c
Câu 3c
Ta có BI ⊥ AC (I là trung điểm AC)
Mà BI ⊥ SA (...)
→ BI ⊥ (SAC)
→ SI là hình chiếu của SB lên (SAC)
→ (SB,(SAC)) = (SB,SI) = BSI
![]()