Đề thi học kì 2 môn Toán lớp 11 năm 2015 trường THPT Lương Ngọc Quyến, Thái Nguyên
Đề thi học kì 2 lớp 11 môn Toán
Đề thi học kì 2 môn Toán lớp 11 năm 2015 trường THPT Lương Ngọc Quyến, Thái Nguyên là đề thi học kì 2 môn Toán lớp 11 có đáp án dành cho các bạn tham khảo, ôn tập, hệ thống chương trình Toán lớp 11, chuẩn bị cho kì thi cuối năm lớp 11 và chương trình lớp 12 sắp tới.
Đề thi học kì 2 môn Ngữ Văn lớp 11 trường THPT Lý Thái Tổ năm học 2014-2015
Đề thi học kì II môn Toán lớp 11 trường THPT chuyên Hà Nội Amsterdam năm học 2010-2011
Bộ đề thi học kì 2 môn Tiếng Anh lớp 11 năm 2015 trường THPT Lê Hồng Phong
| SỞ GD & ĐT THÁI NGUYÊN TRƯỜNG THPT LƯƠNG NGỌC QUYẾN |
ĐỀ KIỂM TRA HỌC KỲ II NĂM HỌC 2014-2015 MÔN: TOÁN - LỚP 11 Thời gian làm bài: 90 phút, không kể thời gian giao đề |
Câu 1.(1,5 điểm) Tìm số hạng đầu, công sai và tổng của 30 số hạng đầu tiên của cấp số cộng (un) biết:
| { | u6 - u2 = 4 |
| u3 + u4 = 17 |
Câu 2.(3,5 điểm)
a, Tính giới hạn: lim(√(n² + 3n + 1) - n).
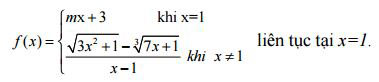
b) Tìm m để hàm số:

c) Chứng minh phương trình x6 + 2sin2x -1 = 0 luôn có nghiệm.
Câu 3.(4,0 điểm) Cho hình chóp S.ABCD có đáy ABCD là hình thang vuông tại A và B, mặt phẳng (SAB) và mặt phẳng (SAD) cùng vuông góc với mặt phẳng (ABCD), AD = SA =2a, AB = BC = a.
a) Chứng minh rằng: SA vuông góc với (ABCD).
b) Chứng minh rằng: (SBC) vuông góc (SAB).
c) Tính góc giữa đường thẳng SC và mặt phẳng (ABCD).
d) Gọi M là trung điểm của cạnh CD. Tính góc giữa hai đường thẳng BM và SC.
Câu 4. (1,0 điểm) Cho tam giác ABC có AB = c, BC = a, CA = b. Chứng minh rằng ba cạnh a, b, c theo thứ tự tạo lập một cấp số cộng khi và chỉ khi ba số cot A/2,√3, cot C/2 theo thứ tự lập thành một cấp số nhân.
----------------Hết---------------
Thí sinh không được sử dụng tài liệu, cán bộ coi thi không giải thích gì thêm.
Họ và tên thí sinh:………………………………………. Số báo danh:……………
Đáp án đề thi học kì 2 môn Toán
Câu 1:
- u6 - u2 = 4
- u3 + u4 =17
Ta có hệ phương trình:
- u1 + 5d - (u1 + d) = 4
- u1 + 2d + u1 + 3d = 17
Suy ra u1 = 6; d = 7. Từ đó tính được S30 =615
Câu 2:
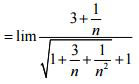
a,

= 3/2