20 bộ đề thi học kì 1 Toán 11



20 bộ đề thi học kì 1 môn Toán lớp 11
20 bộ đề thi học kì 1 lớp 11 môn Toán là tài liệu học tập môn Toán hay được VnDoc.com sưu tầm và đăng tải. Đây là bộ đề thi Toán 11 học kì 1 giúp các bạn học sinh tự luyện tập nhằm củng cố kiến thức đã học, ôn thi học kì I hiệu quả để đạt kết quả tốt nhất trong các bài thi sắp diễn ra. Mời các bạn tham khảo.
Ngoài ra, VnDoc.com đã thành lập group chia sẻ tài liệu học tập THPT miễn phí trên Facebook: Tài liệu học tập lớp 11. Mời các bạn học sinh tham gia nhóm, để có thể nhận được những tài liệu mới nhất.
- 20 đề thi học kì 1 môn Vật lý lớp 11 có đáp án
- 1000 Đề thi học kì 1 lớp 11 năm 2020 Tải nhiều nhất
- Bộ đề thi học kì 1 lớp 11 môn Toán có đáp án
- 20 đề thi học kì 1 môn Vật lý lớp 11 có đáp án
- Đề cương ôn học kì 1 lớp 11 môn Toán từ cơ bản đến nâng cao
VnDoc.com xin gửi tới bạn đọc bài viết 20 bộ đề thi học kì 1 môn Toán lớp 11 để bạn đọc cùng tham khảo. Bộ đề thi gồm 20 đề ôn thi học kỳ 1 môn Toán lớp 11, mỗi đề gồm 5 câu tổng hợp kiến thức môn Toán: Tìm tập xác định, giải phương trình, viết phương trình, tìm giao tuyến... Mời bạn đọc cùng tham khảo chi tiết bài viết dưới đây.
Đề kiểm tra học kì 1 Toán 11 - Đề số 1
Bài 1
a) Tìm tập xác định của hàm số ![]()
b) Tìm GTLN, GTNN của hàm số y = 2sinx - 1.
Bài 2: Giải

Bài 3.
a) Cho tập hợp A = {0; 1; 2; 3; 6; 7; 8}. Từ các phần tử của A lập được bao nhiêu số tự nhiên chẵn có 6 chữ số khác nhau?
b) Tìm số hạng chứa x4 trong khai triển ![]()
c) Hộp thứ nhất chứa 5 viên bị trắng và 4 viên bị vàng. Hộp thứ hai chứa 6 viên bị trắng và 2 viên bị vàng. Lấy ngẫu nhiên từ mỗi hộp một bi. Tính xác suất để lấy được:
i) hai bi trắng ii) ít nhất một bi vàng
Bài 4: Cho đường tròn (C): (x - 1)2 + (y + 2)2 = 4 và điểm A(2; 1) viết phương trình đường tròn (C') là ảnh của (C) qua phép vị tự tâm A tỉ số k = -2
Bài 5: Cho hình chóp S.ABCD có đáy ABCD là hình bình hành. M, N lần lượt là trung điểm của SB, AB
a) Tìm giao tuyến của (SAC) và (SBD), (SAD) và (SBC)
b) Gọi E thuộc cạnh SC sao cho SE = 2EC. Tìm giao điểm của đường thẳng AE và (SBD)
c) Gọi G1, G2 lần lượt là trọng tâm của ΔSBC và ΔABC. Chứng minh: G1G2 // (SAD)
Đề kiểm tra học kì 1 Toán 11 - Đề số 2
Bài 1
a) Tìm tập xác định của hàm số ![]()
b) Tìm GTLN, GTNN của hàm số y = 4cosx + 3, x ∈ [0; 2π/3]
Bài 2: Giải:

Bài 3: Tìm số nguyên dương n, biết rằng hệ số của xn-2 trong
bằng 70.
Bài 4: Cho một hộp kín chứa 8 viên bi đỏ, 7 viên bi xanh và 5 viên bi vàng.
a) Có bao nhiêu cách lấy 3 viên bi cùng màu.
b) Lấy ngẫu nhiên đồng thời 4 bi trong hộp. Tính xác suất để 4 bi lấy được có đủ 3 màu trong đó số bi đỏ là số lẻ.
Bài 5: Trong mp Oxy, cho đường thẳng d: 4x – 3y + 6 = 0. Tìm ảnh của d qua phép tịnh tiển theo vec tơ
Bài 6: Cho hình chóp S.ABCD, ABCD là hình thang đáy lớn là AD. Gọi M, N, P lần lượt là trung điểm của SB, CD, AD.
a) Tìm giao tuyến của (SAD) và (SBC)
b) Chứng minh: NP // (SAC).
c) Tìm giao điểm MP và ((SAC).
d) Tìm thiết diện của hình chóp cắt bởi (MNP).
Đề kiểm tra học kì 1 Toán 11 - Đề số 3
Bài 1
a) Tìm tập xác định của các hàm số
,
b) Tìm GTLN, GTNN của hs
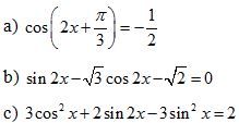
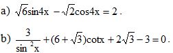
Bài 2: Giải các phương trình:
a)
b) .
c) .
Bài 3
a) Có bao nhiêu số tự nhiên chẵn gồm 4 chữ số được lập từ các chữ số 0; 1; 2; 3; 4; 5; 6.
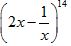
b) Tìm số hạng không chứa x trong khai triển của biểu thức: .
c) Từ một hộp chứa 20 quả cầu, trong đó có 15 quả cầu màu xanh và 5 quả cầu màu đỏ. Lấy ngẫu nhiên đồng thời 2 quả cầu từ hộp trên. Tính xác suất để chọn được 2 quả cầu khác màu.
Bài 4: Trong mp Oxy cho đường thẳng d: 5x + 2y – 10 = 0. Tìm ảnh của d qua phép quay
Bài 5: Cho hình chóp S.ABCD, đáy ABCD là bình hành tâm O. Gọi M, E lần lượt là trung điểm của SA, DC.
a) Tìm giao tuyến của (SAC) và (SBD); (SAB) và (SCD).
b) Tìm giao điểm Q của đường thẳng SD với (MBC).
c) Gọi P = QC SE, K = BE
AC. Chứng minh: PK // (SBD).
Tài liệu vẫn còn mời các bạn tải về tham khảo trọn nội dung
Trên đây VnDoc.com vừa giới thiệu tới bạn đọc 20 bộ đề thi học kì 1 môn Toán lớp 11. Mong rằng đây là tài liệu hữu ích giúp bạn đọc có thể ôn tập môn Toán tốt lớp, cũng như có thêm tài liệu để ôn tập cho thi THPT Quốc gia. Bên cạnh đó bạn đọc có thể tham khảo thêm kiến thức các môn Ngữ Văn lớp 11, Tiếng Anh lớp 11, Vật lý lớp 11...
Và sau những giờ học tập và làm việc căng thẳng, mời các em học sinh, thầy cô giải lao với các bài trắc nghiệm IQ, trắc nghiệm cảm xúc EQ của VnDoc. Hy vọng rằng, các bạn sẽ có những giây phút giải lao thoải mái và nhiều niềm vui.