Đề kiểm tra học kì 1 môn Vật lý lớp 11 năm học 2014 - 2015 trường THPT Châu Thành 1, Đồng Tháp
Đề kiểm tra học kì 1 môn Vật lý lớp 11
Đề kiểm tra học kì 1 môn Vật lý lớp 11 năm học 2014 - 2015 trường THPT Châu Thành 1, Đồng Tháp có đáp án là tài liệu tham khảo hữu ích giúp quý thầy cô có cơ sở ra đề thi, đề ôn tập môn Vật lý cho học sinh. Các em học sinh có thể tự luyện tập nhằm kiểm tra lại kiến thức đã học, ôn tập học kỳ I lớp 11 hiệu quả. Mời các bạn tham khảo.
Đề kiểm tra học kì 1 môn Toán lớp 11 năm học 2014 - 2015 trường THPT Châu Thành 1, Đồng Tháp
Đề kiểm tra học kì 1 môn Hóa học lớp 11 năm học 2014 - 2015 trường THPT Châu Thành 1, Đồng Tháp
|
SỞ GIÁO DỤC VÀ ĐÀO TẠO TỈNH ĐỒNG THÁP
ĐỀ CHÍNH THỨC (Đề gồm có 01 trang) |
KIỂM TRA HỌC KÌ I Năm học: 2014-2015 Môn thi: VẬT LÝ - Lớp 11 Ngày thi: 22/ 12/ 2014 Thời gian: 45 phút (không kể thời gian phát đề) |
I. PHẦN CHUNG CHO TẤT CẢ THÍ SINH (8,0 điểm)
Câu I. (1,0 điểm). Tụ điện là gì?
Câu II. (1,0 điểm). Nêu bản chất dòng điện trong chất khí.
Câu III. (1,0 điểm). Phát biểu và viết biểu thức của định luật Jun – Len-xơ.
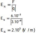
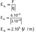
Câu IV. (2,0 điểm). Một điện tích điểm Q = 8.10-7 C được đặt cô lập trong chân không.
- Tính độ lớn của cường độ điện trường tại điểm M cách điện tích điểm Q một đoạn 10cm.
- Đặt tại điểm N một điện tích điểm q = 3.10-8 C, điện tích q chịu một lực đẩy có độ lớn F = 6.10-3 (N). Tính độ lớn cường độ điện trường tại điểm N.
Câu V. (1,0 điểm). Một bình điện phân đựng dung dịch bạc nitrat với anôt bằng bạc, dòng điện qua bình điện phân I = 6 (A). Xác định lượng bạc bám vào cực âm sau 49 phút 40 giây. Biết khối lượng mol của bạc là A = 108 (g/mol), n = 1.
| Câu VI. (2,0 điểm). Cho đoạn mạch điện như hình vẽ. Hiệu điện thế giữa hai đầu đoạn mạch là UAB = 15 (V), trên đèn có ghi: 12V – 6W, điện trở dây nối không đáng kể. Xác định giá trị điện trở của biến trở để đèn sáng bình thường. | ![]() |
II. PHẦN RIÊNG - Tự chọn (2,0 điểm)
Thí sinh chỉ chọn một trong hai câu (câu VII.a hoặc câu VII.b)
Câu VII.a. Theo chương trình Chuẩn (2,0 điểm)
|
|
Câu VII.b. Theo chương trình Nâng cao (2,0 điểm)
- Nêu bản chất của dòng điện trong kim loại.
- Cho mạch điện như hình vẽ, biết nguồn có suất điện động E = 12(V), điện trở trong r = 2(Ω), R = 0,5 (Ω), điện trở dây nối không đáng kể. Biến trở Rx có giá trị bao nhiêu để công suất tiêu thụ điện ở Rx là lớn nhất? Tính công suất lớn nhất đó?
Đáp án đề kiểm tra học kì 1 môn Vật lý lớp 11
Câu I. (1,0 điểm)
Tụ điện là một hệ hai vật dẫn đặt gần nhau và ngăn cách nhau bằng một lớp cách điện.
Câu II. (1,0 điểm)
Dòng điện trong chất khí là dòng chuyển dời có hướng của các ion dương theo chiều điện trường và các ion âm, electron ngược chiều điện trường.
Câu III. (1,0 điểm)
Nhiệt lượng tỏa ra ở một vật dẫn tỉ lệ thuận với điện trở của vật dẫn, với bình phương cường độ dòng điện và với thời gian dòng điện chạy qua vật dẫn đó.
Q = RI2t
Câu IV. (2,0 điểm)
1. 
2. 
Câu V. (1,0 điểm)

m ≈ 20g
Câu VI. (2,0 điểm)
Pđm = UđmIđm
Iđm = Pđm /Uđm
Iđm = 6/12 = 0,5 (A)
Để đèn sáng bình thường thì hiệu điện thế hai đầu bóng đèn phải bằng hiệu điện thế định mức của đèn (UĐ = Uđm), khi đó I = Iđm.
UR = UAB - Uđm
UR = 15 - 12 = 3 (V)
R = UR/I
R = 3/0,5 = 6 (W)
Câu VII.a (2,0 điểm)
1. Điện trường là một dạng vật chất bao quanh điện tích và gắn liền với điện tích. Điện trường tác dụng lực điện lên các điện tích khác đặt trong nó.
2. Điện trở mạch ngoài: RN = R + Rx

↔ Rx = r - R = 2 - 0,5 = 1,5 (Ω)
Câu VII.b (2,0 điểm)
1. Dòng điện trong kim loại là dòng dịch chuyển có hướng của các electron tự do ngược chiều điện trường.
2. Điện trở mạch ngoài: RN = R + Rx

* Ghi chú: Học sinh giải cách khác đúng kiến thức, logic thì vẫn được trọn điểm phần đó
