Đề thi học kì II môn Toán lớp 11 trường THPT chuyên Hà Nội Amsterdam năm học 2010-2011
Đề thi học kì 2 môn Toán lớp 11
Đề thi học kì 2 môn Toán lớp 11 trường THPT chuyên Hà Nội Amsterdam năm học 2010 - 2011 là tài liệu được VnDoc.com sưu tầm và giới thiệu tới các bạn học sinh tham khảo để ôn thi học kì 2 môn Toán lớp 11, củng cố kiến thức và kỹ năng cần thiết cho kỳ thi cuối năm. Mời các bạn cùng tham khảo nhằm đạt kết quả cao trong bài thi của mình.
Đề thi giữa học kì 2 môn Toán lớp 11 trường THPT Hiệp Bình, Hồ Chí Minh năm 2014 - 2015
Đề thi giữa học kì 2 môn Toán lớp 11 trường THPT Thủ Đức, TP. HCM năm 2015 - 2016
Đề thi học kì 2 môn Toán lớp 11 năm 2015 trường THPT Lương Ngọc Quyến, Thái Nguyên
| TRƯỜNG THPT CHUYÊN HÀ NỘI – AMSTERDAM TỔ TOÁN – TIN |
ĐỀ THI HỌC KỲ 2 MÔN TOÁN LỚP 11 NĂM HỌC 2010 – 2011 Thời gian làm bài: 120 phút |
Bài 1. Tìm ba số hạng đầu của một cấp số nhân, biết rằng tổng của ba số hạng này bằng 21, đồng thời theo thứ tự này, chúng là số hạng thứ nhất, thứ ba và thứ mười lăm của một cấp số cộng.
Bài 2.
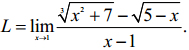
a) Tìm giới hạn 
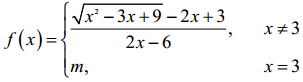
b) Tìm giá trị của tham số m để hàm số sau liên tục tại x = 3:
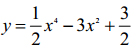
Bài 3. Cho hàm số
có đồ thị (C).
a) Viết phương trình tiếp tuyến của đồ thị (C) của hàm số tại những điểm có hoành độ thỏa mãn y '' = 0.
b) Viết phương trình tiếp tuyến của đồ thị (C) của hàm số biết rằng tiếp tuyến đi qua điểm A(0; 3/2).
Bài 4. Cho hình chóp S.ABCD có đáy ABCD là hình vuông cạnh a, mặt bên SAB là tam giác đều và vuông góc với đáy.
a) Tính khoảng cách từ A đến mặt phẳng (SCD).
b) Tính góc giữa hai mặt phẳng (SAB) và (SCD).
c) Gọi E là trung điểm của SA. Chứng minh rằng CE vuông góc với SA.
d) Cho điểm M di động trên đoạn SA. Gọi I là hình chiếu vuông góc của điểm S trên mặt phẳng (CDM ). Chứng minh rằng khi M thay đổi thì điểm I di động trên một đường tròn cố định.
Bài 5. (Chỉ dành cho các lớp 11T2, 11L1, 11L2, 11H1, 11H2, 11Tin)
Cho phương trình (m2 + 1)x3 - 2m2x2 - 4x + m2 + 1 = 0, với m là tham số. Chứng minh rằng phương trình đã cho luôn có ba nghiệm phân biệt với mọi giá trị của tham số m.
Chú ý: Cách đánh giá điểm
- Đối với các lớp 11T2, 11L1, 11L2, 11H1, 11H2, 11Tin, thang điểm như sau: Bài 1: 2 điểm, bài 2: 2 điểm: bài 3: 2 điểm, bài 4: 3,5 điểm, bài 5: 0,5 điểm.
- Đối với các lớp còn lại, thang điểm như sau: Bài 1: 2 điểm, bài 2: 2 điểm: bài 3: 2 điểm, bài 4: 4 điểm.