Đề thi giữa học kì 2 môn Toán lớp 11 trường THPT Thủ Đức, TP. HCM năm 2015 - 2016
Đề kiểm tra giữa học kì 2 môn Toán lớp 11 có đáp án
Đề thi giữa học kì 2 môn Toán lớp 11 trường THPT Thủ Đức, TP. HCM năm 2015 - 2016 được VnDoc.com sưu tầm và đăng tải, gồm 5 câu hỏi làm trong thời gian 60 phút. Đề kiểm tra có đáp án đi kèm, mời các bạn tham khảo.
Đề thi học kì 2 môn Toán lớp 11 trường THPT Phan Ngọc Hiển, Cà Mau năm 2015
Đề thi học kì 2 môn Toán lớp 11 trường THPT Đa Phúc, Hà Nội năm 2015
Đề thi giữa học kì 2 môn Toán lớp 11 trường THPT Hiệp Bình, Hồ Chí Minh năm 2014 - 2015
|
TRƯỜNG THPT THỦ ĐỨC Năm học: 2015 – 2016 |
ĐỀ KIỂM TRA GIỮA HỌC KÌ 2 – KHỐI 11Môn: Toán - Thời gian: 60 phút |
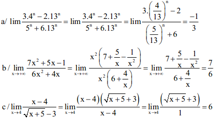
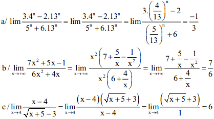
Câu 1 (4 điểm). Tính các giới hạn:
![]()
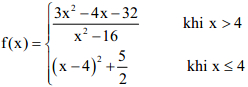
Câu 2 (1.0 điểm). Xét tính liên tục của hàm số f(x) tại với xo = 4:

Câu 3 (1.0 điểm). Chứng minh rằng phương trình: x3 + 2016x + 0,3 = 0 có ít nhất một nghiệm âm.

Câu 5 (3 điểm). Cho hình chóp SABCD có đáy ABCD là hình chữ nhật với AB = 3√3, AD = 6. Trên cạnh AB lấy điểm M sao cho MB = 2MA và SM ⊥ (ABCD).
a) Chứng minh rằng AD ⊥ (SAB).
b) Cho SM = 2√3. Tính số đo của góc tạo bởi đường thẳng SB và (ABCD).
c) Gọi N là trung điểm cạnh AD. Chứng minh BN ⊥ SC.
Đáp án đề kiểm tra giữa học kì 2 môn Toán lớp 11
Câu 1:

Câu 2:

Câu 3:

(Còn tiếp)