Đề thi học kì 2 môn Toán lớp 11 trường THPT Đa Phúc, Hà Nội năm 2015
Đề thi học kì 2 môn Toán lớp 11 có đáp án
Đề thi học kì 2 môn Toán lớp 11 trường THPT Đa Phúc, Hà Nội năm 2015 có 4 câu hỏi và đáp án đi kèm, là tài liệu ôn tập môn Toán hữu ích, giúp các bạn củng cố và nâng cao kiến thức môn Toán hiệu quả, từ đó chuẩn bị tốt nhất cho bài thi cuối năm sắp tới. Mời các bạn tham khảo.
Đề thi giữa học kì 2 môn Toán lớp 11 trường THPT Hiệp Bình, Hồ Chí Minh năm 2014 - 2015
Đề thi học kì 2 môn Toán lớp 11 năm 2015 trường THPT Lương Ngọc Quyến, Thái Nguyên
|
TRƯỜNG THPT ĐA PHÚC Năm học 2014 - 2015 |
ĐỀ KIỂM TRA HỌC KỲ 2 Môn: Toán – Lớp 11 (Thời gian làm bài 90 phút không kể thời gian phát đề). |
Câu 1. (2,0 điểm) Tìm các giới hạn sau
![]()
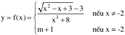
Câu 2. (1,0 điểm) Tìm các giá trị của m để hàm số y liên tục tại x = -2. Biết:

Câu 3. (3,0 điểm)

Câu 4. (4,0 điểm) Cho hình chóp S.ABCD có đáy là hình vuông cạnh 2a, các cạnh bên SA, SB, SC, SD có độ dài bằng a√3. Gọi O là giao điểm của AC và BD, M là trung điểm của đoạn AB, K thuộc đoạn SA và AK = 2KS.
a). Chứng minh rằng SO ⊥ (ABCD) và mp(SAC) ⊥ mp(SBD)
b). Tính góc giữa mặt phẳng (SBC) và mặt phẳng (ABCD).
c). Tính góc giữa đường thẳng CM và mặt phẳng (SBC)
d). Tính khoảng cách giữa đường thẳng CM và đường thẳng BK theo a.
Đáp án đề thi học kì 2 môn Toán lớp 11
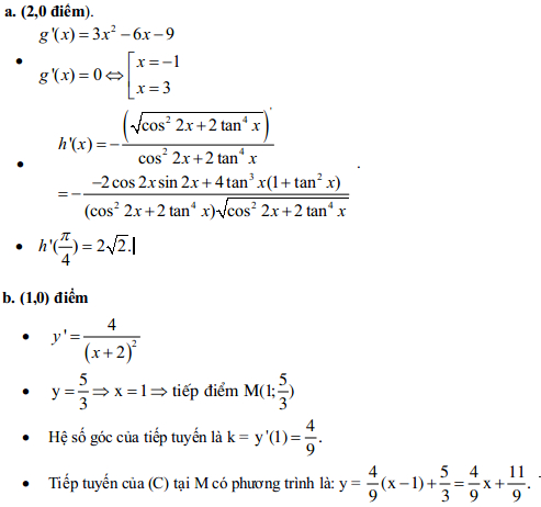
Câu 1:

Câu 2:

Câu 3:

Câu 4:
