Đề thi giữa học kì 2 môn Toán lớp 11 trường THPT Lý Thái Tổ, Bắc Ninh năm học 2015 - 2016
Đề thi giữa học kì 2 môn Toán lớp 11
Đề thi giữa học kì 2 môn Toán lớp 11 trường THPT Lý Thái Tổ, Bắc Ninh năm học 2015 - 2016 được VnDoc.com sưu tầm và đăng tải, gồm 5 câu hỏi tự luận có đáp án đi kèm. Đây là tài liệu ôn thi học kì II môn Toán hữu ích dành cho các bạn học sinh lớp 11, mời các bạn tham khảo.
Đề thi giữa học kì 2 môn Toán lớp 12 trường THPT Đa Phúc, Hà Nội năm học 2015 - 2016
Đề thi giữa học kì 2 môn Toán lớp 11 trường THPT Hiệp Bình, Hồ Chí Minh năm 2014 - 2015
|
SỞ GD & ĐT BẮC NINH TRƯỜNG THPT LÝ THÁI TỔ |
ĐỀ THI GIỮA HỌC KÌ 2 NĂM HỌC 2015 – 2016 Môn thi: TOÁN; KHỐI 11 Thời gian làm bài: 90 phút (không kể thời gian phát đề) Ngày thi 29/03/2016 |
Câu 1 (2.0 điểm). Giải các phương trình sau:
- 4cos22x + 6sin2x = 4
- sin2(x - π) - sin(3x - π) = sinx
Câu 2 (1.0 điểm). Tìm số hạng chứa x10 trong khai triển của biểu thức
biết n là số nguyên dương thỏa mãn:
.
Câu 3 (2.0 điểm). Tính các giới hạn sau:

Câu 4 (2.0 điểm).
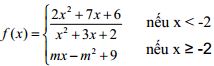
- Tìm m để hàm số:
liên tục trên R. - Chứng minh phương trình: ax2 + bx + c luôn có nghiệm với a, b, c là các số thực thỏa mãn: a ≠ 0 và 3a + 7b + 18c = 0.
Câu 5 (3.0 điểm). Cho hình chóp S.ABC có đáy ABC là tam giác vuông tại B và cạnh SA vuông góc với mặt phẳng đáy. Gọi H, K lần lượt là hình chiếu của A trên cạnh SB và SC.
- Chứng minh đường thẳng AH vuông góc mặt phẳng (SBC).
- Lấy D là giao điểm của HK và BC. Chứng minh H là trực tâm tam giác SCD và đường thẳng SD vuông góc mặt phẳng (AHC).
- Cho SA = SB = a, AC = a√3. Xác định và tính góc giữa đường thẳng SB và mặt phẳng (SAD).
Đáp án đề thi giữa học kì 2 môn Toán lớp 11




