Đề thi học kì 2 môn Toán lớp 12 tỉnh Nam Định năm học 2015 - 2016
Đề thi học kì 2 môn Toán lớp 12 năm 2016 tỉnh Nam Định
Đề khảo sát chất lượng học kì 2 môn Toán lớp 12 tỉnh Nam Định năm học 2015 - 2016 gồm 10 câu hỏi có đáp án đi kèm, là đề luyện tập giúp các bạn học sinh củng cố và nâng cao kiến thức làm bài môn Toán. Mời các bạn tham khảo.
Đề thi học kì 2 môn Toán lớp 12 tỉnh Hà Tĩnh năm học 2015 - 2016
Đề thi học kì 2 môn Toán lớp 12 năm 2016 thành phố Đà Nẵng
Đề thi học kì 2 môn Toán lớp 12 trường THPT Đa Phúc, Hà Nội năm học 2015 - 2016
|
SỞ GIÁO DỤC VÀ ĐÀO TẠO ĐỀ CHÍNH THỨC |
ĐỀ KHẢO SÁT CHẤT LƯỢNG HỌC KỲ II NĂM HỌC 2015 – 2016 Môn: Toán – lớp 12 (Thời gian làm bài: 180 phút) |
Câu 1 (1,0 điểm). Khảo sát sự biến thiên và vẽ đồ thị hàm số ![]()
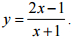
Câu 2 (1,0 điểm). Tìm giá trị lớn nhất và giá trị nhỏ nhất của hàm số
trên đoạn [-1;1]
Câu 3 (1,0 điểm).
a) Cho số phức z thỏa mãn (1 - 3i)z + 1 + i = 5 - i. Tính môđun của z.
b) Giải phương trình log2(x - 1) + log2x = 1.
Câu 4 (1,0 điểm). Tính tích phân ![]()
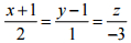
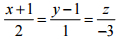
Câu 5 (1,0 điểm). Trong không gian tọa độ Oxyz, cho điểm A(1;-1;0) và đường thẳng d có phương trình.
Lập phương trình mặt phẳng P đi qua điểm A và vuông góc với đường thẳng d
. Tìm tọa độ điểm B thuộc trục Ox sao cho khoảng cách từ B đến mặt phẳng (P) bằng √14.
Câu 6 (1,0 điểm).
a) Tính giá trị của biểu thức P = (1 + 3sin2x)(1 + cos2x), biết cos2x = -2/3.
b) Trong đợt kiểm tra chất lượng sản xuất sản phẩm tiêu dùng, một đoàn thanh tra lấy ngẫu nhiên 5 sản phẩm từ một lô hàng của một công ty để kiểm tra. Tính xác suất để đoàn thanh tra lấy được đúng 2 phế phẩm. Biết rằng trong lô hàng đó có 100 sản phẩm, trong đó có 95 chính phẩm và 5 phế phẩm.
Câu 7 (1,0 điểm). Cho hình chóp S.ABC có đáy ABC là tam giác đều cạnh bằng a, tam giác SAB vuông cân tại đỉnh S và nằm trong mặt phẳng vuông góc với mặt phẳng đáy. Tính thể tích của khối chóp S.ABC và khoảng cách giữa hai đường thẳng SB và AC theo a.
Câu 8 (1,0 điểm). Trong mặt phẳng tọa độ Oxy, cho hình chữ nhật ABCD có diện tích bằng 18. Gọi E là trung điểm cạnh BC. Đường tròn ngoại tiếp tam giác CDE cắt đường chéo AC tại G, (G không trùng với C ). Biết E(1;-1), G(2/5;4/5) và điểm D thuộc đường thẳng d: x + y - 6 = 0. Tìm tọa độ các điểm A, B, C, D.
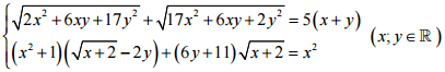
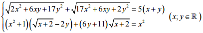
Câu 9 (1,0 điểm). Giải hệ phương trình 
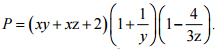
Câu 10 (1,0 điểm). Xét x, y, z là các số thực dương thỏa mãn xy + xz + 1 = x.
Tìm giá trị lớn nhất của biểu thức ![]()
Đáp án đề kiểm tra học kì 2 môn Toán lớp 12 tỉnh Nam Định
Câu 1:

(Còn tiếp)