Đề thi học kì 2 môn Toán lớp 12 trường THPT Đa Phúc, Hà Nội năm học 2015 - 2016
Đề thi học kì 2 môn Toán lớp 12
Đề thi học kì 2 môn Toán lớp 12 trường THPT Đa Phúc, Hà Nội năm học 2015 - 2016 là đề kiểm tra học kì II môn Toán lớp 12 có đáp án đi kèm, giúp các bạn ôn tập lại kiến thức về: khảo sát hàm số, giải phương trình, tính tích phân, tính môđun, toán hình không gian Oxy. Đây là đề thi ôn tập hữu ích dành cho các bạn học sinh lớp 12, mời các bạn tham khảo.
Đề thi học kì 2 môn Ngữ văn lớp 12 trường THPT Đa Phúc, Hà Nội năm học 2015 -2016
|
TRƯỜNG THPT ĐA PHÚC Năm học: 2015 -2016 |
ĐỀ KIỂM TRA HỌC KÌ II Môn: Toán 12 - Thời gian: 90 phút |
Bài 1: (2,5 điểm). Cho hàm số
(C)
a) Khảo sát sự biến thiên và vẽ đồ thị (C) của hàm số.
b) Viết phương trình tiếp tuyến của (C) tại giao điểm của (C) và trục hoành.
Bài 2: (2,0 điểm).
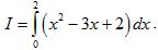
a) Tính: ![]()
b) Tính diện tích hình phẳng (H) giới hạn bởi các đường: y = cos3x, y = 0, x = 0, x = π/2.
Bài 3: (1,5 điểm) Giải các phương trình sau trên tập số phức.
a) (3 + i)z – 2 = 0; b) z2 + z + 3 = 0.
Bài 4: (1,0 điểm). Cho hình chóp S.ABC có đáy là tam giác vuông tại B, AB = 2a, góc ACB bằng 30o. Cạnh SA = 2a và vuông góc với đáy. Tính thể tích khối chóp S.ABC và khoảng cách giữa hai đường thẳng AB và SC theo a.
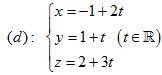
Bài 5: (3,0 điểm) Trong không gian Oxyz, cho đường thẳng
và mặt phẳng (P): x – y – z + 2= 0.
a) Tìm tọa độ giao điểm của (d) và (P).
b) Viết phương trình mặt phẳng chứa (d) và vuông góc với (P).
c) Viết phương trình mặt cầu tâm I(–1;4;3) và tiếp xúc với mặt phẳng (P).
d) Viết phương trình mặt phẳng (α) đi qua A(1;9;4) và cắt các tia Ox, Oy, Oz lần lượt tại M, N, P sao cho: OM + ON + OP đạt giá trị nhỏ nhất.
Đáp án đề thi học kì 2 môn Toán lớp 12



