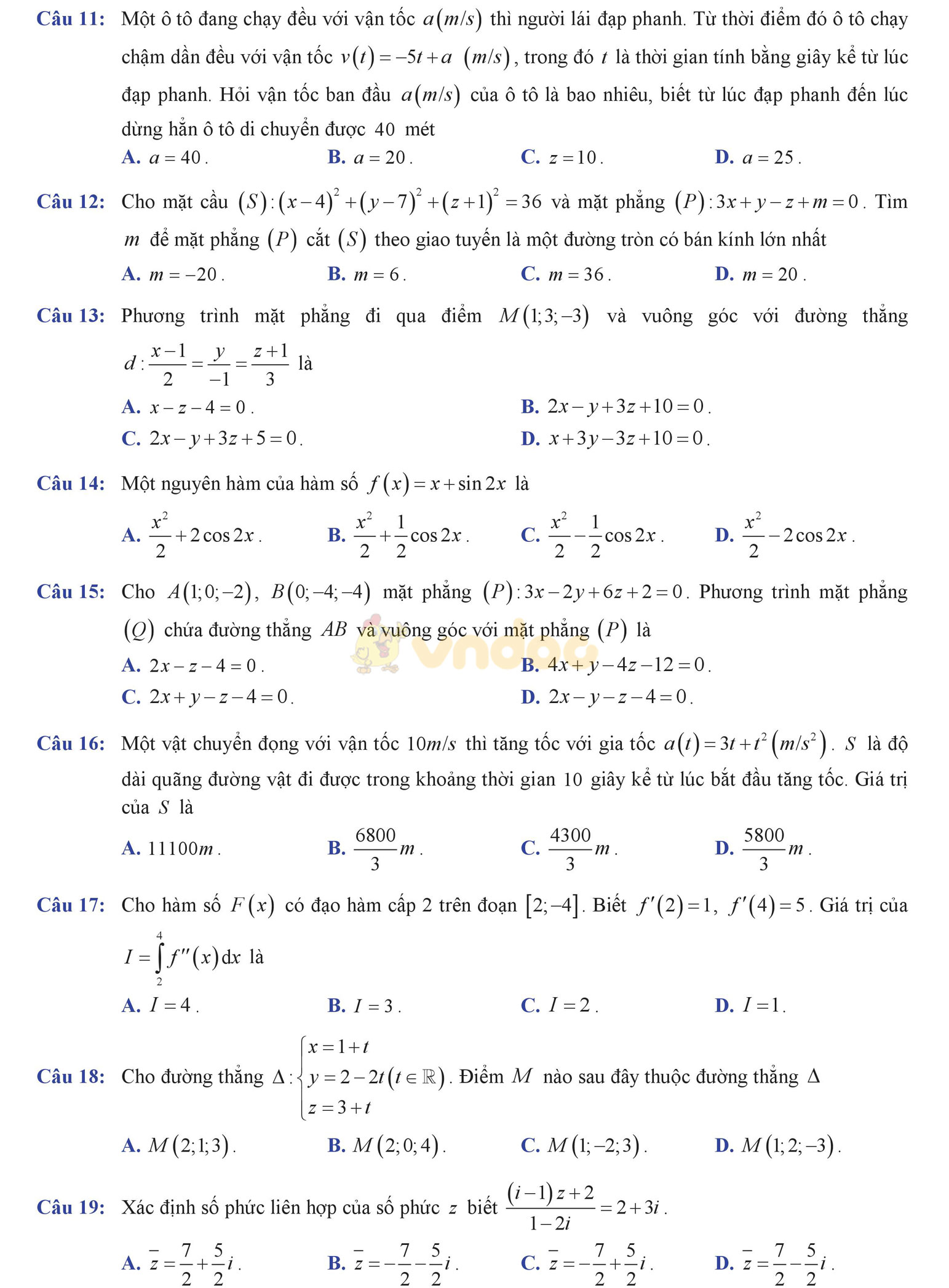
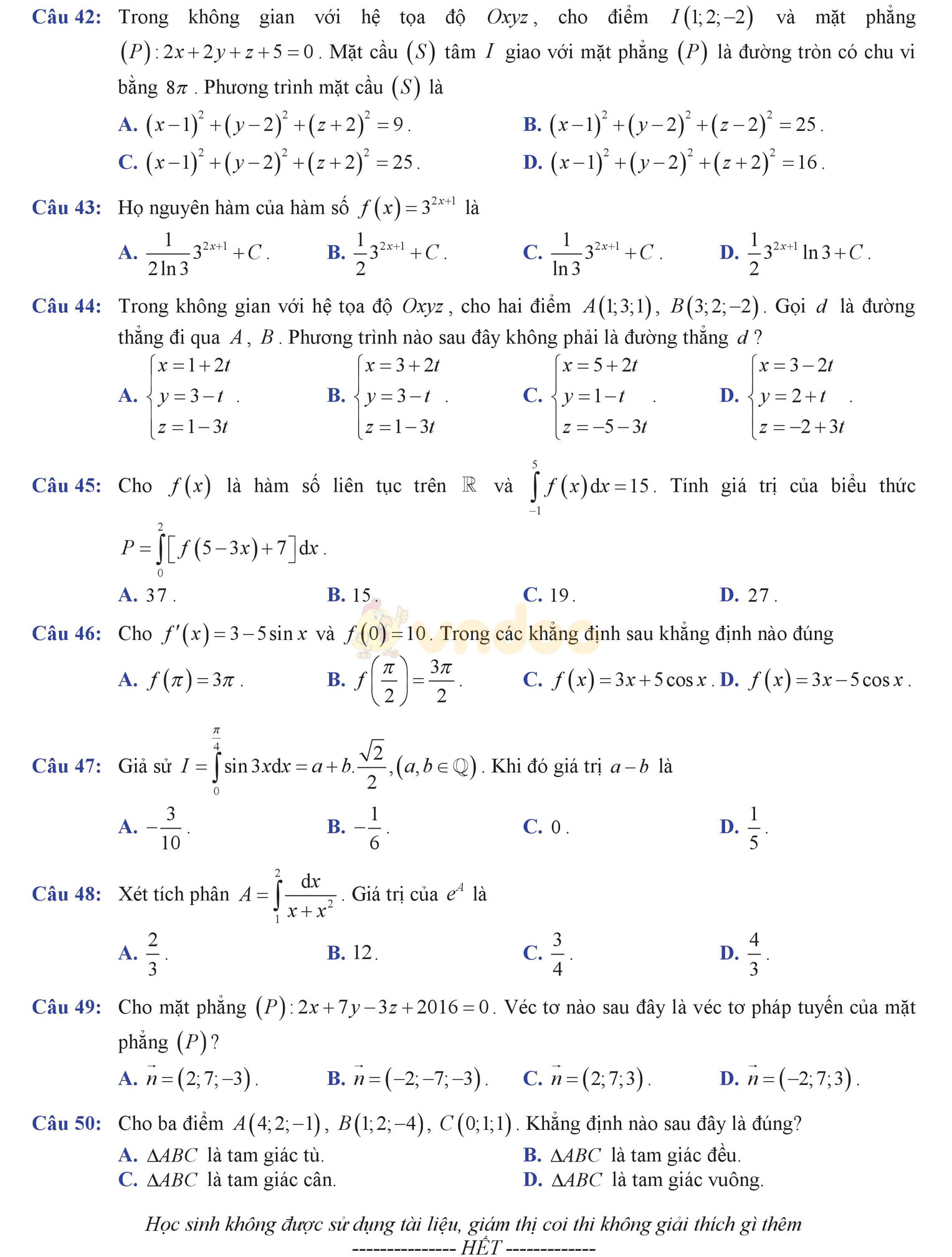
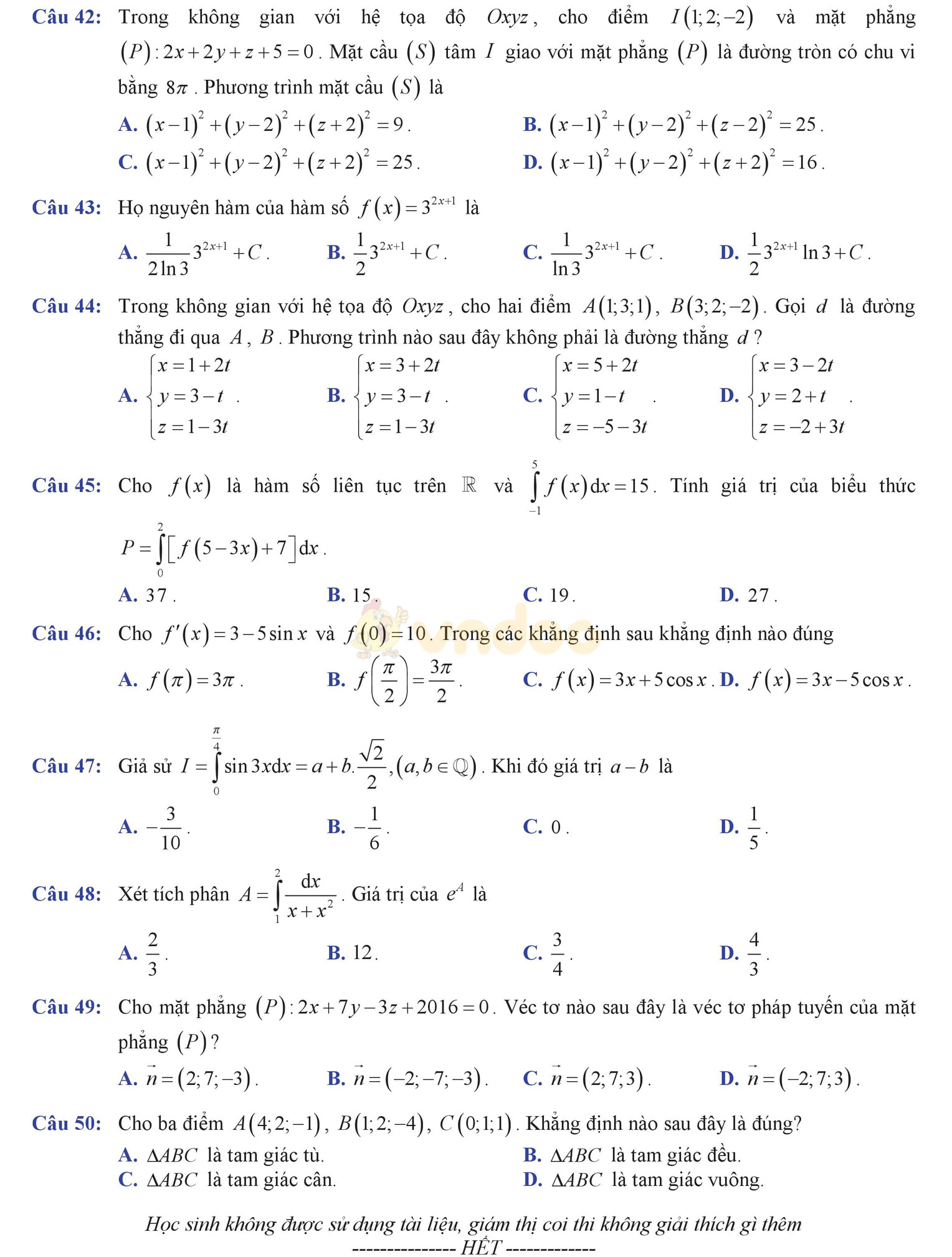
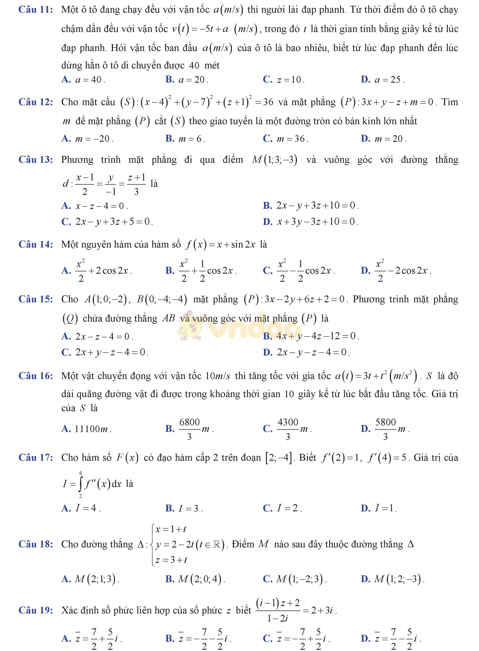
Đề thi học kì 2 môn Toán lớp 12 trường THPT Trung Văn, Hà Nội năm học 2016 - 2017
Đề kiểm tra học kỳ II môn Toán lớp 12
Lớp:
Lớp 12
Môn:
Toán
Dạng tài liệu:
Đề thi
Thời gian:
Học kì 2
Loại File:
PDF
Phân loại:
Tài liệu Tính phí
Đề thi học kì 2 môn Toán lớp 12
Đề thi học kì 2 môn Toán lớp 12 trường THPT Trung Văn, Hà Nội năm học 2016 - 2017. Đề thi do các thầy cô giáo giảng dạy môn Toán tại trường THPT Trung Văn, thành phố Hà Nội biên soạn nhằm kiểm tra, đánh giá năng lực học tập của học sinh lớp 12 môn Toán trong học kì 2. Mời các bạn cùng tham khảo.
Đề thi học kì 2 môn Toán lớp 12 trường THPT Việt Đức, Hà Nội năm học 2016 - 2017
Đề thi học kì 2 môn Toán lớp 12 trường THPT Vĩnh Viễn, TP HCM năm học 2016 - 2017
Bộ đề thi học kì 2 môn Toán lớp 12 trường THPT Quỳnh Lưu 1, Nghệ An năm học 2016 - 2017




