Đề thi học kì 2 môn Toán lớp 4 trường Tiểu học Trần Quang Khải năm học 2016 - 2017
Đề thi học kì 2 môn Toán lớp 4
Đề thi học kì 2 môn Toán lớp 4 trường tiểu học Trần Quang Khải năm học 2016 - 2017 có đáp án kèm theo được VnDoc sưu tầm, chọn lọc giúp các em học sinh ôn tập, củng cố kiến thức, chuẩn bị cho bài thi cuối kì 2, cuối năm học đạt kết quả cao. Sau đây mời các em cùng tham khảo chi tiết đề thi.
|
TRƯỜNG TH TRẦN QUANG KHẢI Họ tên: Lớp:
|
KTĐK – GIỮA KÌ II – 2016 - 2017 Môn: TOÁN - Lớp 4 Ngày: ……/4/2017 (Thời gian: 40 phút) |
|
Phần I. TRẮC NGHIỆM
Câu 1. Khoanh tròn vào chữ đặt trước trả lời đúng:
A. Phân số bằng phân số
\(\frac{2}{3}\) là:

B. Dãy phân số được xếp theo thứ tự tăng dần là:

C. Phân số lớn hơn 1 là:

D. Chữ số thích hợp điền vào ô trống để □52 chia hết cho 3 là:
a. 3 b. 5 c. 7 d. 9
Câu 2.
A. Đúng ghi Đ, sai ghi S vào ô trống:
\(\frac{1}{4}\) kg = 25kg □
B. Điền kết quả vào chỗ chấm:
Một tấm bìa hình thoi có độ dài hai đường chéo là
\(\frac{2}{3}\) dm và
\(\frac{2}{5}\) dm. Vậy diện tích tấm bìa hình thoi là……………..
Phần II. TỰ LUẬN
Câu 3. Tính:

Câu 4: a) Tính giá trị biểu thức: (1 điểm)
![]()
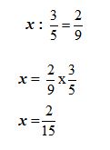
b) Tìm x: (1 điểm)
![]()
Câu 5: Một sân trường hình chữ nhật có nửa chu vi 125m, biết chiều rộng bằng 2/3 chiều dài. Tính diện tích sân trường hình chữ nhật.
Câu 6: Tổ 1 làm được 4850 sản phẩm, tổ 2 làm được số sản phẩm bằng 4/5 số sản phẩm của tổ 1, tổ 3 làm được số sản phẩm bằng mức trung bình cộng của cả 3 tổ. Hỏi tổ 3 làm được bao nhiêu sản phẩm?
Đáp án và hướng dẫn chấm môn Toán học kì 2 lớp 4
|
PHẦN I |
|
|
Câu 1: 2 điểm
|
A.b B.c C.d D.b Khoanh đúng mỗi câu được 0,5 điểm |
|
Câu 2: 1 điểm
|
a) S b) Ghi đúng mỗi câu được 0,5 điểm
|
|
PHẦN II |
|
|
Câu 3: 2 điểm
Câu 4: 1 điểm
Câu 5: 2 điểm
Câu 6: 1 điểm |
(0,5 điểm mỗi bước tính) a) Tính giá trị biểu thức : (1 điểm)
b) Tìm x : (1 điểm)
Giải Tổng số phần bằng nhau là: 2 + 3 = 5 (phần) Chiều rộng sân trường hình chữ nhật là: (125: 5) x 2 =50 (m) Chiều dài sân trường hình chữ nhật: (125: 5) x 3 =75 (m) Diện tích sân trường hình chữ nhật là: 75 x 50=3750 (m2) Đáp số: 3750m2
Giải Số sản phẩm tổ 2 làm được là : 4850 x Số sản phẩm tổ 3 làm được là: (4850 + 3880) : 2 = 4365 (sản phẩm) Đáp số: 4365 sản phẩm (0,5 điểm mỗi bước tính) |
Ngoài ra các em học sinh hoặc quý phụ huynh còn có thể tham khảo thêm đề thi giữa học kì 2 lớp 4 các môn Toán, Tiếng Việt, Tiếng Anh theo chuẩn thông tư 22 của bộ Giáo Dục và các dạng bài ôn tập môn Tiếng Việt 4, và môn Toán 4. Những đề thi này được VnDoc.com sưu tầm và chọn lọc từ các trường tiểu học trên cả nước nhằm mang lại cho học sinh lớp 4 những đề ôn thi học kì 1 chất lượng nhất. Mời các em cùng quý phụ huynh tải miễn phí đề thi về và ôn luyện.

