Đề thi học kì 2 môn Toán lớp 4 trường tiểu học Vĩnh Gia, An Giang năm 2015 - 2016
Đề thi học kì 2 môn Toán lớp 4
Đề thi học kì 2 môn Toán lớp 4 trường tiểu học Vĩnh Gia, An Giang năm 2015 - 2016 có đáp án kèm theo là đề thi cuối kì II lớp 4 môn Toán được VnDoc sưu tầm dành cho các bạn học sinh lớp 4 ôn tập, nhằm đạt kết quả tốt trong bài thi cuối năm. Mời các bạn cùng tham khảo.
Đề thi học kì 2 môn Tiếng Việt lớp 4 trường tiểu học Vĩnh Gia, An Giang năm 2015 - 2016
Đề thi học kì 2 môn Toán - Tiếng Việt lớp 4 trường tiểu học số 2 Bắc Lý, Đồng Hới năm 2015 - 2016
| Trường tiểu học Vĩnh Gia | KIỂM TRA CUỐI HỌC KÌ II MÔN: TOÁN - Lớp: 4 Năm học: 2015 - 2016 Thời gian: 40 phút |
Câu 1: (0,5đ) Hình thoi có độ dài 2 đường chéo là 10m và 8m thì diện tích hình thoi là:
A. 60m2 B. 50m2 C. 40m2 D. 90m2
Câu 2: (0,5đ) Một mảnh vườn hình chữ nhật có chiều dài 12m, chiều rộng 6m. Diện tích mảnh vườn hình hình chữ nhật là:
A. 72cm2 B. 72dm2 C. 72m2 D. 72m
Câu 3: (0,5đ) 1/3 giờ là bao nhiêu phút:
A. 20 phút B. 30 phút C. 40 phút D. 50 phút
Câu 4: (0,5đ) 1/2 thế kỷ là bao nhiêu năm:
A. 30 năm B. 40 năm C. 50 năm D. 60 năm
Câu 5: (1đ) Tính giá trị biểu thức:
167 + 2482 x 33
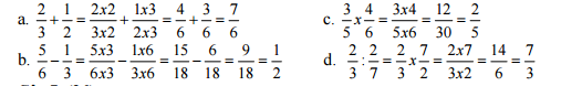
Câu 6: (3đ) Tính
Câu 7: (2đ) Mẹ hơn con 25 tuổi. Tuổi con bằng 2/7 tuổi mẹ. Tính số tuổi của mỗi người?
Câu 8: (1đ) Tìm X
![]()
Câu 9: (1đ) Hiện nay tổng số tuổi của mẹ và tổng số tuổi của con là 48 tuổi, mẹ hơn con 26 tuổi. Tính tuổi mẹ hiện nay?
Đáp án đề thi học kì 2 môn Toán lớp 4
Đề thi cuối học kì 2 môn Khoa học lớp 4 trường tiểu học A Nhơn Mỹ, An Giang năm 2015 - 2016
Từ câu 1 đến câu 4: Mỗi câu đúng được 0,5 điểm
| Câu | 1 | 2 | 3 | 4 |
| Đáp án | C | C | A | C |
Câu 5: (1đ). Mỗi bước tính đúng được (0,5đ). Nếu sai phép tính, đúng kết quả không tính điểm
167 + 2482 x 33 = 167 + 81906
= 82073
Câu 6: (3đ). Mỗi phép tính đúng được (0,75đ)

Câu 7: (2đ)
Giải
Hiệu số phần bằng nhau là: (0,25đ)
7 - 2 = 5 (phần) (0.25đ)
Số tuổi của Mẹ là: (0,25đ)
(25 : 5) x 7 = 35 (tuổi) (0,25đ)
Số tuổi của con là: (0,25đ)
35 - 25 = 10 (tuổi) (0,25đ)
Đáp số: Mẹ: 35 tuổi (0.5đ)
Con: 10 tuổi
Câu 8: (1đ) Tìm X (Mỗi bước đúng được 0,25 điểm)

Câu 9: (1đ)
Bài giải
Tuổi mẹ hiện nay: (0,25đ)
(48 + 26) : 2 = 37 (tuổi) (0,25đ)
Đáp số: 37 tuổi (0,25đ)