Đề thi học kì 2 môn Toán lớp 7 phòng GD&ĐT Đại Thành, Bắc Giang năm 2015 - 2016
Đề thi học kì 2 môn Toán lớp 7
Đề thi học kì 2 môn Toán lớp 7 phòng GD&ĐT Đại Thành, Bắc Giang năm 2015 - 2016 là tài liệu luyện thi học kỳ 2 lớp 7 rất hiệu quả. Đây cũng là tài liệu tham khảo môn Toán giúp các bạn học sinh lớp 7 ôn tập lại kiến thức, nhằm học tập môn Toán tốt hơn, đạt điểm cao trong bài thi giữa kì, thi cuối kì. Mời các bạn tham khảo.
Đề thi giữa học kì 2 môn Địa lý lớp 7 trường THCS Lê, Lợi, Đức Cơ năm 2014 - 2015
Đề thi học kì 2 môn Ngữ văn lớp 7 phòng GD&ĐT Đại Thành, Bắc Giang năm 2015 - 2016
| PHÒNG GIÁO DỤC VÀ ĐÀO TẠO HUYỆN ĐẠI THÀNH |
KIỂM TRA HỌC KỲ II NĂM HỌC 2015 - 2016 Môn: Toán 7 Thời gian làm bài 90 phút (không kể giao đề) (Đề gồm: 01 trang) |
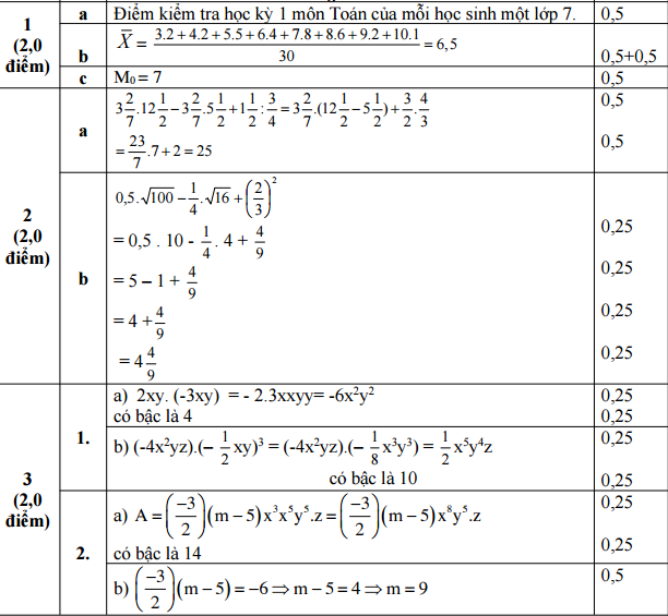
Câu 1 (2,0 điểm): Điểm kiểm tra học kỳ I môn Toán của học sinh một lớp 7 cho ở bảng sau:
| Điểm (x) | 3 | 4 | 5 | 6 | 7 | 8 | 9 | 10 | |
| Tần số (n) | 2 | 2 | 5 | 4 | 8 | 6 | 2 | 1 | N = 30 |
a) Dấu hiệu ở đây là gì?
b) Tìm số trung bình cộng.
c) Tìm mốt của dấu hiệu.
Câu 2 (2,0 điểm): Thực hiện phép tính![]()
Câu 3 (2,0 điểm):
1. Thực hiện các phép tính sau và tìm bậc của kết quả:
a) 2xy.(-3xy) b) (- 4x2yz).(- 1/2xy)3
2. Cho A =
(với m là hằng số)
a) Thu gọn và tìm bậc đơn thức A
b) Tìm m để hệ số của A là - 6
Câu 4 (3,0 điểm): Cho tam giác ABC cân tai A. Gọi M là trung điểm của BC.
a) Chứng minh ΔABM = ΔACM
b) Từ M kẻ MH ⊥ AB (H ∈ AB) và MK ⊥ AC ( K ∈ AC). Chứng minh BH = CK.
c) Từ B kẻ BP ⊥ AC (P ∈ AC), biết BP cắt MH tại I. Chứng minh rằng ΔIBM cân.
Câu 5 (1,0 điểm): Thực hiện phép tính:
![]()
Đáp án đề thi học kì 2 môn Toán lớp 7


