Đề thi học kì 1 môn Toán lớp 10 trường THPT Đông Du, TP.HCM năm học 2015 - 2016
Đề thi học kì 1 môn Toán lớp 10
Đề thi học kì 1 môn Toán lớp 10 trường THPT Đông Du, TP.HCM năm học 2015 - 2016 là tài liệu tham khảo được Vndoc.com sưu tầm, giúp bạn củng cố kiến thức Toán học lớp 10 học kì 1 để chuẩn bị cho kì thi học kì 1 năm học 2016 - 2017 sắp tới. Mời các bạn tham khảo.
Đề thi học kỳ I môn Ngữ văn lớp 12 trường Đông Du, TP.HCM năm học 2015 - 2016
| SỞ GD & ĐT TP.HCM TRƯỜNG THCS, THPT ĐÔNG DU |
ĐỀ KIỂM TRA HỌC KÌ I NĂM HỌC 2015 - 2016 MÔN: TOÁN - LỚP 10 Thời gian làm bài: 90 phút |
Câu 1: (1,0 điểm)
Tìm tập xác định của hàm số:

Câu 2: (1,0 điểm)
Cho hai tập hợp: ![]()
Tìm: ![]()
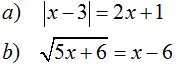
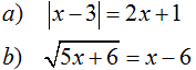
Câu 3: (2,0 điểm)
Giải các phương trình sau:

Câu 4: (2,0 điểm)
Giải bất phương trình sau:
![]()
.
Câu 5: (4,0 điểm)
Cho tam giác ABC, có A(-4;1), B(2;4), C(2;-2)
a) Tính chu vi tam giác ABC.
b) Tìm tọa độ điểm D sao cho ABCD là hình bình hành.
c) Tìm tọa độ điểm M sao cho: ![]()
--------------------Hết-------------------