Đề thi học sinh giỏi Giải toán trên máy tính Casio lớp 9 cấp huyện Thủy Nguyên năm 2014
Đề thi học sinh giỏi Giải toán trên máy tính Casio lớp 9
Đề thi học sinh giỏi Giải toán trên máy tính Casio lớp 9 cấp huyện Thủy Nguyên năm 2014 là đề thi giải toán trên máy tính cầm tay được VnDoc.com sưu tầm và giới thiệu tới thầy cô và các bạn tham khảo. Hi vọng tài liệu này sẽ giúp các bạn ôn tập và củng cố kiến thức, luyện thi HSG lớp 9 THCS, ôn thi vào các lớp 10 Toán - Tin hiệu quả.
Đề thi giải toán trên máy tính cầm tay lớp 9 THCS huyện Bình Giang năm 2013 - 2014
Đề thi giải toán trên Máy tính cầm tay lớp 9 THCS tỉnh Hà Tĩnh năm 2014 - 2015
Đề thi giải toán trên máy tính cầm tay lớp 9 Phòng GD&ĐT Tư Nghĩa, Quảng Ngãi năm học 2016 - 2017
| UBND HUYỆN THỦY NGUYÊN PHÒNG GIÁO DỤC VÀ ĐÀO TẠO |
KỲ THI HỌC SINH GIỎI CẤP HUYỆN NĂM HỌC: 2013 – 2014 |
MÔN: GIẢI TOÁN TRÊN MÁY TÍNH CASIO LỚP 9
Thời gian thi: 120 phút (Không kể thời gian giao đề)
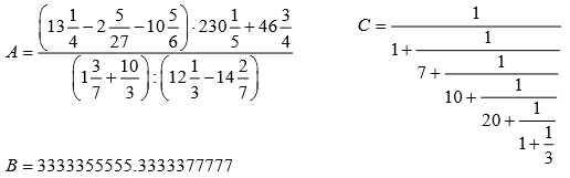
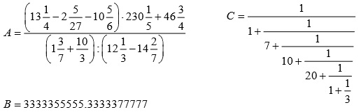
Bài 1: (1,5 điểm)
Tính giá trị của các biểu thức sau:

Bài 2: (0,5 điểm)
Tìm 5 chữ số tận cùng của 1233072
Bài 3: (1,5 điểm)
a) Cho P(x) = 35x5 - x4 - 5x3 - 9x2 + 39x - 1. Tính M = P(2) + 2P(5) - P(3)?
b) Cho f(x) = 5x4 - 4x3 + 2x2 + 7x + 8 và g(x) = 3x - 1
Tìm số dư r và đa thức thương Q(x) khi thực hiện phép chia f(x) cho g(x).
Bài 4: (0,5 điểm)
Tính giá trị của biểu thức: T = cos210 + cos220 + cos230 + ... + cos2880 + cos2890
Bài 5: (1,0 điểm)
Tìm số chính phương có 4 chữ số sao cho hai chữ số đầu giống nhau, hai chữ số cuối giống nhau.
Bài 6: (0,5 điểm)
Tìm ước số chung lớn nhất (ƯCLN) và bội số chung nhỏ nhất (BCNN) của 1185180 và 1086415.
Bài 7: (1,25 điểm)
Cho quy trình sau (trên máy tính CASIO)

Bấm liên tiếp n lần dấu "=" để được Un+5 (thực hiện quy trình trên kết thúc bằng dấu “=” là ta tính được U6)
a) Tính đúng các giá trị U6; U9; U10
b) Quy trình này tính U ncó công thức như thế nào?
Bài 8: (1,5 điểm)
Cho tam giác ABC có AB = 3,721cm ; BC = 4,728cm; góc ABC = 38o. Tính độ dài đường cao AH, trung tuyến AM và cạnh AC của tam giác ABC.
Bài 9. (1,25 điểm)
Cho ΔABC vuông tại B, cạnh BC = 20132014 cm; hai trung tuyến BM và CN vuông góc với nhau. Tính CN?
Bài 10. (0,5 điểm) Cho
![]()
Tính giá trị của biểu thức P = a1 + a2 + a3 + a4 + ... + a2013 + a2014 biết a1; a2; a3; a4; ...; a2013; a2014 là các số nguyên khác 0.
Ngoài đề thi trên, VnDoc còn có rất nhiều đề thi học kì 1 lớp 9 khác để các bạn tham khảo. Các bạn có thể tải đề thi học kì 1 lớp 9 môn Toán của những năm trước về để luyện tập thêm, chuẩn bị tốt nhất cho kì thi học kì sắp tới. Chúc các bạn học tốt. Mời các bạn tham khảo để chuẩn bị tốt nhất cho kì thi học kì sắp tới.