Đề thi học kì 1 môn Toán lớp 9 năm học 2016 - 2017
Đề thi học kì 1 lớp 9
Đề thi học kì 1 môn Toán lớp 9 năm học 2016 - 2017. Đề thi gồm có 5 câu hỏi tự luận với thời gian làm bài thi là 90 phút. Phần đáp án cùng thang điểm chi tiết của đề thi học kì 1 lớp 9 này cũng đã được VnDoc.com cập nhật đầy đủ, chi tiết và chính xác, chính vì vậy bạn có thể đối chiếu kết quả bài làm ngay sau khi làm xong. Mời các bạn tham khảo.
Đề cương ôn tập học kì 1 môn Toán lớp 9 năm học 2016 - 2017
Đề thi học kì 1 môn Toán lớp 9 Phòng GD&ĐT Nguyên Bình, Cao Bằng năm học 2016 - 2017
Đề thi học kì 1 môn Toán lớp 9 Phòng GD&ĐT Bình Giang, Hải Dương năm học 2015 - 2016
Đề thi học kì 1 môn Toán lớp 9 trường PTDT Nội Trú, Sơn La năm 2015 - 2016
| Trường ................. Lớp ...................... Họ và tên ............. |
ĐỀ THI HỌC KÌ 1 NĂM HỌC 2016 - 2017 MÔN: TOÁN LỚP 9 Thời gian làm bài 90 phút |
Câu 1: (2,0 điểm) Rút gọn biểu thức:
a) ![]()
b)
(với x ≥ 0; x ≠ 9)
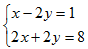
Câu 2: (1,0 điểm) Giải hệ phương trình ![]()
Câu 3: (3,0 điểm) Cho hàm số bậc nhất: y = (m - 1)x + 3 (1) (với m ≠ 1)
a) Xác định m để hàm số (1) đồng biến trên R
b) Xác định m, biết đồ thị của hàm số (1) song song với đường thẳng y = - x + 1
c) Xác định m để đường thẳng (d1): y = 1 - 3x; (d2): y = - 0,5x - 1,5 và đồ thị của hàm số (1) cùng đi qua một điểm.
Câu 4: (3,5 điểm)
Cho đường tròn tâm O bán kính 3cm. Từ một điểm A cách O là 5cm vẽ hai tiếp tuyến AB, AC với đường tròn (B, C là tiếp điểm).
a) Chứng minh AO vuông góc với BC
b) Kẻ đường kính BD. Chứng minh rằng DC song song với OA;
c) Tính chu vi và diện tích tam giác ABC.
d) Qua O kẻ đường thẳng vuông góc với BD, đường thẳng này cắt tia DC tại E. Đường thẳng AE và OC cắt nhau ở I; đường thẳng OE và AC cắt nhau ở G.
Chứng minh IG là trung trực của đoạn thẳng OA.
Câu 5: (0,5 điểm)
Giải phương trình: x2 + 4x + 7 = (x + 4)![]()
ĐÁP ÁN ĐỀ THI HỌC KÌ 1 MÔN TOÁN LỚP 9


Hiện tại, các em học sinh lớp 9 đang phải viết bài viết số 3. Để hoàn thành bài viết số 3 lớp 9 hay và ý nghĩa, các em nên tham khảo các bài văn mẫu cùng chủ đề này. Bài tập làm văn số 3 lớp 9 có 4 chủ đề: Đề 1: Hãy kể một lần tình cờ xem trộm nhật kí của bạn, Kể lại buổi gặp gỡ người lính lái xe trong Bài thơ về tiểu đội xe không kính, Kể về một kỉ niệm đáng nhớ giữa mình và thầy, cô giáo cũ, Kể về một cuộc gặp gỡ với các chú bộ đội nhân ngày thành lập Quân đội nhân dân Việt Nam (22-12). VnDoc.com đã sưu tầm các bài văn mẫu tham khảo cho bài viết số 3 này. Mời các em học sinh tham khảo để có ý tưởng viết bài hay hơn. Chúc các em học tốt.