Đề thi học kì 1 môn Toán lớp 9 Phòng GD&ĐT Bình Giang, Hải Dương năm học 2015 - 2016
Đề thi học kì 1 môn Toán lớp 9
Đề thi học kì 1 môn Toán lớp 9 Phòng GD&ĐT Bình Giang, Hải Dương năm học 2015 - 2016. Đề thi học kì 1 lớp 9 này là tài liệu tham khảo hay được VnDoc.com sưu tầm, nhằm giúp các em học sinh lớp 9 ôn tập và củng cố lại kiến thức. Chúc các em ôn thi tốt và đạt được kết quả cao trong kì thi học kì 1 sắp tới.
Đề thi học kì 1 môn Toán lớp 9 trường THCS Hoa Lư, Vạn Ninh năm 2015 - 2016
Đề thi học kì 1 môn Toán lớp 9 tỉnh Vĩnh Phúc năm 2015 - 2016
Đề thi học kì 1 môn Toán lớp 9 trường PTDT Nội Trú, Sơn La năm 2015 - 2016
| PHÒNG GD&ĐT BÌNH GIANG | ĐỀ KIỂM TRA HỌC KỲ I NĂM HỌC 2015 - 2016 MÔN: TOÁN - LỚP 9 Thời gian làm bài: 90 phút (Đề bài gồm 01 trang) |
Câu 1 (2.0 điểm) Tìm x, biết:

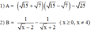
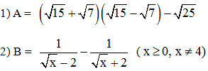
Câu 2 (2.0 điểm) Rút gọn biểu thức:

Câu 3 (2.0 điểm) Cho hàm số bậc nhất y = (m - 3)x + 6 (x là biến)
1) Tìm m để hàm số nghịch biến.
2) Xác định m biết đồ thị hàm số đi qua điểm A(2; - 6)
Câu 4 (3.0 điểm) Cho nửa đường tròn (O), đường kính AB = 2R. Trong nửa mặt phẳng bờ AB chứa nửa đường tròn (O) vẽ hai tia Ax, By cùng vuông góc với AB. Qua điểm M thuộc nửa đường tròn (M khác A và B), kẻ tiếp tuyến với nửa đường tròn, nó cắt Ax và By thứ tự ở C và D.
1) Chứng minh rằng: Tam giác COD vuông.
2) Chứng minh rằng: AC. BD = R2
3) Gọi I là giao điểm của AD và BC. Chứng minh: MI vuông góc với AB.
Câu 5 (1.0 điểm)
Cho a > 0, hãy so sánh: ![]()
ĐÁP ÁN ĐỀ THI HỌC KÌ 1 MÔN TOÁN LỚP 9



Ngoài đề thi trên, VnDoc còn có rất nhiều đề thi học kì 1 lớp 9 khác để các bạn tham khảo. Các bạn có thể tải đề thi học kì 1 lớp 9 môn Toán của những năm trước về để luyện tập thêm, chuẩn bị tốt nhất cho kì thi học kì sắp tới. Chúc các bạn học tốt. Mời các bạn tham khảo để chuẩn bị tốt nhất cho kì thi học kì sắp tới.