Đề thi học kì 1 môn Toán lớp 9 trường PTDT Nội Trú, Sơn La năm 2015 - 2016
Đề thi học kì 1 môn Toán lớp 9 có đáp án
Đề thi học kì 1 môn Toán lớp 9 trường PTDT Nội Trú, Sơn La năm 2015 - 2016 có đáp án đi kèm, đây là tài liệu ôn tập hữu ích dành cho các bạn học sinh lớp 9. Với đề thi này, các bạn có thể chủ động trong việc củng cố lại kiến thức môn Toán của mình.
Đề thi học kì 1 môn Toán lớp 9 trực tuyến năm 2012 - 2013
Đề thi học kì 1 môn Toán lớp 9 trường THCS Hoa Lư, Vạn Ninh năm 2015 - 2016
Đề thi học sinh giỏi môn Toán lớp 9 năm học 2015 - 2016 trường THCS Thanh Văn, Hà Nội
|
SỞ GIÁO DỤC VÀ ĐÀO TẠO SƠN LA TRƯỜNG PTDT NỘI TRÚ |
CỘNG HÒA XÃ HỘI CHỦ NGHĨA VIỆT NAM Độc lập – Tự do – Hạnh phúc |
ĐỀ CHÍNH THỨC
ĐỀ THI HỌC KÌ I NĂM HỌC: 2015 – 2016
Môn Thi: Toán lớp 9 (đề 1)
Thời gian 90 phút (không kể thời gian phát đề)
Câu 1 (5,0 điểm).
Phát biểu quy tắc khai phương một thương các thừa số không âm viết công thức.
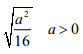
Áp dụng tính 
b) Định nghĩa hàm số bậc nhất? lấy ví dụ minh họa.
c) Phát biểu định lí hệ thức về cạnh và góc trong tam giác vuông, viết công thức.
d) Phát biểu định lí về 2 tiếp tuyến cắt nhau.
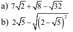
Câu 2: (1,0 điểm). Thực hiện phép tính

Câu 3 (1,0 điểm). Rút gọn biểu thức

Câu 4 (2,0 điểm).
a. Vẽ đồ thị hàm số y = x + 3.
b. Cho đường thẳng (d) y = (m+1)x + m - 1 tìm m để (d) cắt đường thẳng
y = x + 3 tại điểm có hoành độ bằng 2
Câu 5 (1,0 điểm). Cho đường tròn tâm O, bán kính OA = 6 cm. Gọi H là trung điểm của OA, đường thẳng vuông góc với OA tại H cắt đường tròn (O) tại B. Kẻ tiếp tuyến với đường tròn (O) tại B cắt đường thẳng OA tại M.
Tính độ dài MB.
Đáp án đề thi học kì 1 môn Toán lớp 9
