Đề thi học sinh giỏi môn Toán lớp 9 năm học 2015 - 2016 trường THCS Thanh Văn, Hà Nội
Đề thi học sinh giỏi môn Toán lớp 9
Đề thi HSG môn Toán lớp 9 năm học 2015 - 2016 trường THCS Thanh Văn, Hà Nội có đáp án đi kèm. Đề thi học sinh giỏi lớp 9 này là tài liệu tham khảo hay giúp các em ôn luyện và củng cố kiến thức, sẵn sàng cho kỳ thi học sinh giỏi lớp 9 THCS sắp tới.
Đề thi học sinh giỏi môn Toán lớp 9 năm học 2014 - 2015 trường THCS Xuân Dương, Hà Nội
Tuyển tập đề thi học sinh giỏi môn toán lớp 9
Đề thi học sinh giỏi môn Toán lớp 9 Sở GD&ĐT Nghệ An năm học 2015 - 2016 bảng A
Đề thi học sinh giỏi môn Toán lớp 9 thành phố Thanh Hóa năm học 2016 - 2017
PHÒNG GD &ĐT THANH OAI
TRƯỜNG THCS THANH VĂN
ĐỀ THI CHỌN HỌC SINH GIỎI LỚP 9
Năm học 2015 – 2016
Môn thi: Toán.
Thời gian: 150 phút. (không kể thời gian giao đề)
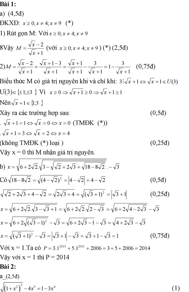
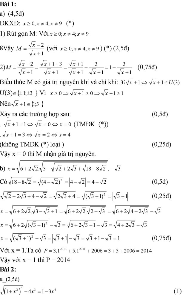
Bài 1: (6 điểm)
a. Cho ![]()
- Rút gọn M
- Tìm giá trị nguyên của x để biểu thức M nhận giá trị là số nguyên
b. Tính giá trị của biểu thức P
![]()
Bài 2: (4 điểm)
a - Giải phương trình: ![]()
b - Tìm tất cả các số nguyên n sao cho n2 + 2014 là một số chính phương
Bài 3: (4 điểm)
a) Cho đường thẳng: (m - 2)x + (m - 1)y = 1 (m là tham số) (1)
Chứng minh rằng đường thẳng (1) luôn đi qua một điểm cố định với mọi giá trị của m
b) Chứng minh rằng: nếu a, b, c là ba số thỏa mãn a + b + c = 2013 và
thì một trong ba số phải có một số bằng 2013
Bài 4: (5 điểm)
Cho đường tròn (O;). AB và CD là hai đường kính cố định của (O) vuông góc với nhau. M là một điểm thuộc cung nhỏ AC của (O). K và H lần lượt là hình chiếu của M trên CD và AB.
a) Tính ![]()
b) Chứng minh: OK2 = AH(2R - AH)
c) Tìm vị trí điểm H để giá trị của: P = MA. MB. MC. MD lớn nhất.
Bài 5: (1 điểm)
Tìm giá trị nhỏ nhất của biểu thức ![]()
(Trong đó a, b, c là độ dài 3 cạnh của 1 tam giác)
Đáp án đề thi học sinh giỏi môn Toán lớp 9



Bài 4.



Ngoài đề thi HSG trên, VnDoc còn có rất nhiều đề thi học kì 1 lớp 9 khác để các bạn tham khảo. Các bạn có thể tải đề thi học kì 1 lớp 9 môn Toán của những năm trước về để luyện tập thêm, chuẩn bị tốt nhất cho kì thi học kì sắp tới. Chúc các bạn học tốt.