Đề thi học sinh giỏi môn Toán lớp 9 thành phố Thanh Hóa năm học 2016 - 2017
Đề thi học sinh giỏi môn Toán lớp 9
Để giúp các bạn học sinh đạt được thành tích cao trong kì thi chọn học sinh giỏi môn Toán, VnDoc.com đã sưu tầm và xin được gửi tới bạn: Đề thi học sinh giỏi môn Toán lớp 9 thành phố Thanh Hóa năm học 2016 - 2017. Đề thi gồm có 5 câu hỏi tự luận với thời gian làm bài là 150 phút. Mời các bạn cùng tham khảo.
Đề thi học sinh giỏi môn Toán lớp 9 thành phố Thanh Hóa năm học 2015 - 2016
Đề thi học sinh giỏi môn Toán lớp 9 Phòng GD&ĐT Thanh Thủy, Phú Thọ năm học 2016 - 2017
Đề thi học sinh giỏi môn Toán lớp 9 Phòng GD&ĐT Vĩnh Lộc, Thanh Hóa năm học 2016 - 2017
Đề thi học sinh giỏi môn Toán lớp 9 Phòng GD&ĐT Phú Lộc, Thừa Thiên Huế năm học 2016 - 2017
| PHÒNG GD & ĐT THÀNH PHỐ THANH HÓA | ĐỀ THI HỌC SINH GIỎI CẤP THÀNH PHỐ NĂM HỌC 2016 - 2017 Môn Toán: Lớp 9 (Thời gian làm bài: 150 phút) |
Bài 1: (5,0 điểm)
Cho biểu thức:
. Với x ≥ 0, x ≠ 1.
a) Rút gọn biểu thức P
b) Tìm x để P = 2/7
c) So sánh: P2 và 2P.
Bài 2: (4,0 điểm)
a) Tìm x, y € Z thỏa mãn: 2y2x + x + y + 1 = x2 + 2y2 + xy
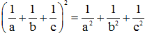
b) Cho a, b, c là các số nguyên khác 0 thỏa mãn điều kiện:
![]()
Chứng minh rằng: a3 + b3 + c3 chia hết cho 3.
Bài 3: (4,0 điểm)
a) Giải phương trình sau: ![]()
b) Cho x, y là 2 số thực thoả mãn: x2 + 2y2 + 2xy + 7x + 7y + 10 = 0.
Tìm giá trị nhỏ nhất và giá trị lớn nhất của biểu thức: A = x + y + 1.
Bài 4: (6,0 điểm)
Cho hình vuông ABCD có cạnh bằng a. N là điểm tùy ý thuộc cạnh AB. Gọi E là giao điểm của CN và DA. Vẽ tia Cx vuông góc với CE và cắt AB tại F. Lấy M là trung điểm của EF.
a) Chứng minh: CM vuông góc với EF.
b) Chứng minh: NB.DE = a2 và B, D, M thẳng hàng.
c) Tìm vị trí của N trên AB sao cho diện tích của tứ giác AEFC gấp 3 lần diện tích của hình vuông ABCD
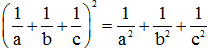
Bài 5: (1,0 điểm)
Cho a, b, c > 0. Chứng minh rằng: 
-------------- Hết------------
Lưu ý: Học sinh không được sử dụng máy tính cầm tay.
ĐÁP ÁN ĐỀ THI HỌC SINH GIỎI MÔN TOÁN LỚP 9






* Lưu ý khi chấm bài:
- Nếu học sinh trình bày cách làm khác mà đúng thì cho điểm các phần theo thang điểm tương ứng.
- Với bài 5, nếu học sinh vẽ hình sai hoặc không vẽ hình thì không chấm.