Đề thi học sinh giỏi môn Toán lớp 9 Phòng GD&ĐT Phú Lộc, Thừa Thiên Huế năm học 2016 - 2017
Đề thi học sinh giỏi môn Toán lớp 9
Đề thi học sinh giỏi môn Toán lớp 9 Phòng GD&ĐT Phú Lộc, Thừa Thiên Huế năm học 2016 - 2017. Đề thi không có câu hỏi trắc nghiệm, hoàn toàn là tự luận với 5 câu hỏi và thời gian để các bạn hoàn thiện bài thi là 150 phút. Phần đáp án đã được VnDoc.com cập nhật đầy đủ, chi tiết và chính xác. Mời các bạn cùng tham khảo.
Đề thi học sinh giỏi môn Toán lớp 9 Phòng GD&ĐT Thanh Thủy, Phú Thọ năm học 2016 - 2017
Đề thi học sinh giỏi môn Toán lớp 9 Phòng GD&ĐT Phù Ninh, Phú Thọ năm học 2016 - 2017
Đề thi học sinh giỏi môn Toán lớp 9 thành phố Thanh Hóa năm học 2015 - 2016
Đề thi học sinh giỏi môn Toán lớp 9 Sở GD&ĐT Nghệ An năm học 2015 - 2016 bảng A
| PHÒNG GIÁO DỤC VÀ ĐÀO TẠO HUYỆN PHÚ LỘC ĐỀ THI CHÍNH THỨC |
KỲ THI CHỌN HỌC SINH GIỎI CẤP HUYỆN NĂM HỌC 2016 – 2017 Môn thi: Toán – Lớp 9 Thời gian: 150 phút (không kể thời gian giao đề) |
Câu 1. (4,0 điểm)
Cho biểu thức 
1) Tìm điều kiện của x để biểu thức A có nghĩa.
2) Rút gọn biểu thức A.
3) Tìm giá trị của x để
là số tự nhiên.
Câu 2. (4,0 điểm)
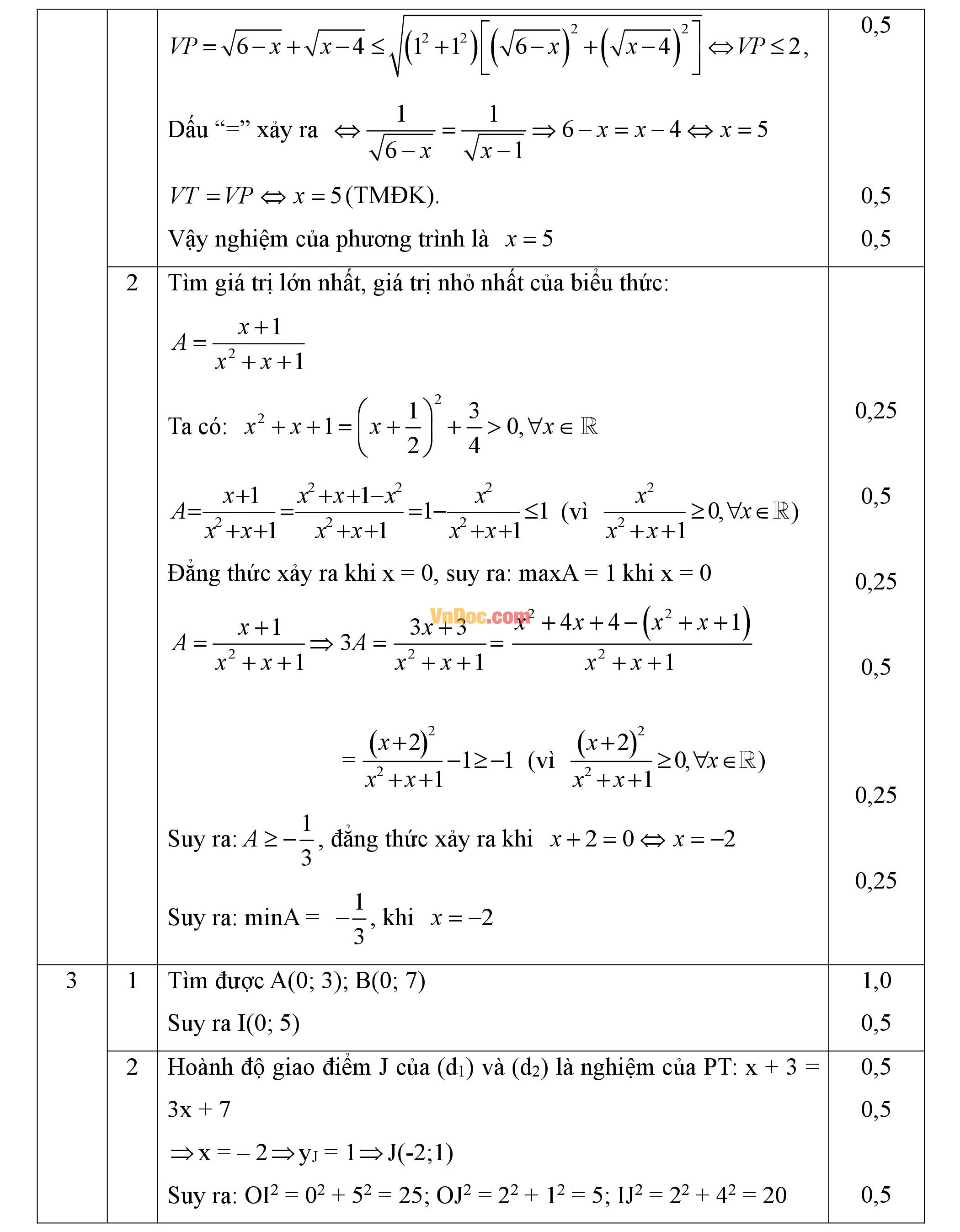
1) Giải phương trình: ![]()
2) Tìm giá trị lớn nhất, giá trị nhỏ nhất của biểu thức: ![]()
Câu 3. (4,0 điểm)
Cho hai đường thẳng: y = x + 3 (d1); y = 3x + 7 (d2)
1) Gọi A và B lần lượt là giao điểm của (d1) và (d2) với trục Oy. Tìm tọa độ trung điểm I của đoạn thẳng AB.
2) Gọi J là giao điểm của (d1) và (d2). Tam giác OIJ là tam giác gì? Tính diện tích của tam giác đó.
Câu 4. (6,0 điểm)
Cho đường tròn (O; R) đường kính AB. Gọi M là điểm nằm giữa A và B. Qua M vẽ dây CD vuông góc với AB, lấy điểm E đối xứng với A qua M.
1) Tứ giác ACED là hình gì? Vì sao?
2) Gọi H và K lần lượt là hình chiếu của M trên AB và AC. Chứng minh rằng: ![]()
3) Gọi C' là điểm đối xứng với C qua A. Chứng minh rằng C' nằm trên một đường tròn cố định khi M di chuyển trên đường kính AB (M khác A và B).
Câu 5. (2,0 điểm)
Cho a, b, c là ba số dương thỏa mãn: a + b + c = 1. Chứng minh rằng: ![]()
ĐÁP ÁN ĐỀ THI HỌC SINH GIỎI MÔN TOÁN LỚP 9




* Chú ý:
1) Nếu thí sinh làm bài không làm bài theo cách nêu trong đáp án nhưng đúng thì cho đủ số điểm từng phần như hướng dẫn quy định.
2) Bài hình không vẽ hình thì không chấm điểm.