Đề thi học sinh giỏi lớp 9 cấp Huyện, phòng GD-ĐT Đức Thọ năm 2013 - 2014
Đề thi học sinh giỏi môn Toán lớp 9
Đề thi học sinh giỏi lớp 9 cấp Huyện, phòng GD-ĐT Đức Thọ năm 2013 - 2014 là đề thi học sinh giỏi cấp huyện môn Toán lớp 9. Tài liệu ba gồm đề thi và đáp án, thuận tiện cho các bạn luyện tập và kiểm tra lại kết quả sau khi làm bài, hi vọng giúp các bạ ôn thi học sinh giỏi, ôn thi vào lớp 10 các trường THPT chuyên hiệu quả.
Tuyển tập đề thi học sinh giỏi môn toán lớp 9
40 đề luyện thi học sinh giỏi Toán 9
Đề thi học sinh giỏi môn Địa lý lớp 9 năm học 2015 - 2016 trường THCS Mỹ Hưng, Hà Nội
Đề thi học sinh giỏi môn Ngữ văn lớp 9 năm học 2014 - 2015 trường THCS Phụ Khánh, Phú Thọ
| PHÒNG GIÁO DỤC VÀ ĐÀO TẠO ĐỨC THỌ ĐỀ THI CHÍNH THỨC |
ĐỀ THI CHỌN HỌC SINH GIỎI CẤP HUYỆN NĂM HỌC: 2013 - 2014 MÔN THI: TOÁN - LỚP 9 |
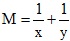
Bài 1:
Rút gọn các biểu thức sau:

Bài 2:
Tìm các số nguyên x, y thỏa mãn y2 + 2xy - 7x - 12 = 0
Bài 3:
Giải các phương trình:
![]()
![]()
Bài 4:
Cho ΔABC vuông tại A (AC > AB), đường cao AH (H thuộc BC). Trên tia HC lấy điểm D sao cho HD = HA. Đường vuông góc với BC tại D cắt AC tại E.
a. Chứng minh rằng ΔBEC ~ ΔADC. Tính BE theo m = AB
b. Gọi M là trung điểm của BE. Chứng minh rằng ΔBHM ~ ΔBEC. Tính góc AHM
c. Tia AM cắt BC tại G. Chứng minh rằng: ![]()
Bài 5:
a. Cho x3 + y3 + 3(x2 + y2) + 4(x + y) + 4 = 0 và xy > 0
Tìm giá trị lớn nhất của ![]()
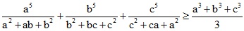
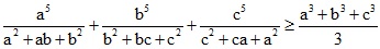
b. Với a, b, c là các số thực dương. Chứng minh rằng:
![]()
Đáp án đề thi học sinh giỏi môn Toán lớp 9
Bài 1
a) Đặt
![]()
→ x = √5 + 1. Do đó A = 1
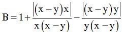
b) 
Xét trường hợp x < y < 0; y < x < 0; x > y > 0 và y > x > 0 ta đều được B = 1
Bài 2:
Cách 1: y2 + 2xy - 7x - 12 = 0 ↔ (x + y)2 = (x + 3)(x + 4)
(x + 3)(x + 4) là tích của 2 số nguyên liên tiếp nên không thể là một số chính phương
Do đó x + 3 = 0 hoặc x + 4 = 0 ↔ x = -3 hoặc x = -4
Từ đó ta tìm được (x; y) ∈ {(-3; 3); (-4; 4)}