Đề thi học sinh giỏi môn Toán lớp 9 năm học 2014 - 2015 trường THCS Xuân Dương, Hà Nội
Đề thi học sinh giỏi môn Toán lớp 9
Đề thi học sinh giỏi môn Toán lớp 9 năm học 2014 - 2015 trường THCS Xuân Dương, Hà Nội là tài liệu bồi dưỡng học sinh giỏi dành cho thầy cô và các em học sinh tham khảo, nhằm giúp các em ôn tập và củng cố kiến thức, luyện đề nhằm chuẩn bị sẵn sàng cho kì thi học sinh giỏi sắp tới. Chúc các em học tốt.
40 đề luyện thi học sinh giỏi Toán 9
Đề thi học sinh giỏi lớp 9 THCS tỉnh Thanh Hóa năm 2014
Đề thi học sinh giỏi môn Toán lớp 9 Sở GD&ĐT Nghệ An năm học 2015 - 2016 bảng A
|
PHÒNG GD&ĐT THANH OAI TRƯỜNG THCS XUÂN DƯƠNG |
ĐỀ THI CHỌN HỌC SINH GIỎI CẤP HUYỆN LỚP 9 NĂM HỌC 2014 – 2015 Môn thi: Toán Thời gian làm bài: 150 phút (không kể thời gian giao đề) |
Câu 1: (6 điểm)
Cho biểu thức A = 
1. Rút gọn A
2. Tìm số nguyên x để A nguyên
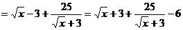
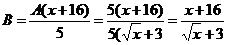
3. Với x ≥ 0, x ≠ 25, x ≠ 9 tìm giá trị nhỏ nhất của biểu thức
B = ![]()
Câu 2: (4 điểm)
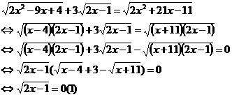
a) Giải phương trình:
![]()
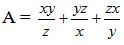
b) Tìm giá trị nhỏ nhất của
với x, y, z là các số dương và x2 + y2 + z2 = 1
Câu 3: (3 điểm)
a) Tìm các nghiệm nguyên của phương trình:
2x6 + y2 –2x3y = 320
b) Cho x, y, z là các số dương thoả mãn
.
Chứng minh rằng:
![]()
Câu 4: (6 điểm)
Cho đường tròn tâm O đường kính AB. M là điểm thuộc đoạn thẳng OA, vẽ đường tròn tâm O' đường kính MB. Gọi I là trung điểm đoạn thẳng MA, vẽ dây cung CD vuông góc với AB tại I. Đường thẳng BC cắt đường tròn (O') tại J.
a) Chứng minh: Đường thẳng IJ là tiếp tuyến của đường tròn (O').
b) Xác định vị trí của M trên đoạn thẳng OA để diện tích tam giác IJO' lớn nhất.
Câu 5: (1 điểm)
Tìm các số nguyên dương x, y thỏa mãn: 2xy + x + y = 83
Đáp án đề thi học sinh giỏi môn Toán lớp 9
Câu 1: (6 điểm)
a) Tìm đúng điều kiện x ≥ 0, x ≠ 25, x ≠ 9
Rút gọn ![]()
b) x ∈ Z → √3 + 5 là Ư(5)

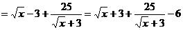
c)
![]()
![]()
→ B ≥ 4 → min B = 4 ↔ x = 4
Câu 2: (4 điểm)
a) ĐK: hoặc x ≥ 4 hoặc x = 0,5
Biến đổi

Hoặc
(2)
Giải (1) được x = 0,5 (thỏa mãn), giải (2) được x = 5 (thỏa mãn)