Đề thi học sinh giỏi lớp 10 THPT tỉnh Thái Nguyên năm 2011 - 2012
Đề thi học sinh giỏi cấp tỉnh lớp 10
VnDoc.com xin giới thiệu tới bạn đọc: Đề thi học sinh giỏi lớp 10 THPT tỉnh Thái Nguyên năm 2011 - 2012. Tài liệu này bao gồm đề thi và đáp án của 7 môn: Toán, Lý, Hóa, Văn, Sinh, Lịch sử, Địa lý. Các bạn có thể luyện đề và kiểm tra lại kết quả dễ dàng, hi vọng sẽ giúp các bạn ôn thi học sinh giỏi lớp 10 THPT hiệu quả.
Đề thi học sinh giỏi lớp 10 THPT Thuận Thành số 1 tỉnh Bắc Ninh năm 2013
Đề thi học sinh giỏi lớp 10 THPT tỉnh Hà Tĩnh năm học 2012 - 2013 môn Hóa học - Có đáp án
Đề thi học sinh giỏi môn Sinh học lớp 10 trường THPT Trần Phú, Vĩnh Phúc năm học 2016 - 2017
Đề thi học sinh giỏi lớp 10 môn Toán
| SỞ GIÁO DỤC VÀ ĐÀO TẠO THÁI NGUYÊN ĐỀ CHÍNH THỨC |
ĐỀ THI CHỌN HỌC SINH GIỎI CẤP TỈNH Năm học 2011 – 2012 ĐỀ THI MÔN: TOÁN LỚP 10 - THPT |
Bài 1 (6 điểm).
a) Giải phương trình sau trên ¡: ![]()
b) Giải bất phương trình sau: ![]()
Bài 2 (3 điểm)
Tìm tất cả các số nguyên dương n sao cho hai số n + 26 và n - 11 đều là lập phương của hai số nguyên dương nào đó.
Bài 3 (3 điểm)
Cho tam giác ABC và điểm K thuộc cạnh BC sao cho KB = 2KC, L là hình chiếu của B trên AK, F là trung điểm của BC, biết rằng KAB = 2KAC. Chứng minh rằng FL vuông góc với AC.
Bài 4 (4 điểm)
Cho A là tập hợp gồm 8 phần tử, tìm số lớn nhất các tập con gồm 3 phần tử của A sao cho giao của 2 tập bất kỳ trong các tập con này không phải là một tập hợp gồm 2 phần tử.
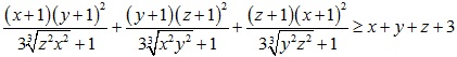
Bài 5 (4 điểm)
Cho các số dương x, y, z. Chứng minh bất đẳng thức:

Đề thi học sinh giỏi lớp 10 môn Văn
| SỞ GIÁO DỤC VÀ ĐÀO TẠO THÁI NGUYÊN ĐỀ CHÍNH THỨC |
ĐỀ THI CHỌN HỌC SINH GIỎI CẤP TỈNH Năm học 2011 – 2012 ĐỀ THI MÔN: NGỮ VĂN LỚP 10 - THPT |
Câu 1 (8,0 điểm)
Suy nghĩ của em sau khi đọc bài báo Tôi ước được nhận hoa 8/3 từ 3 con học đại học.
“…Vì muốn con cái của mình không vất vả, bà Vi lăn ra làm những công việc chỉ dành cho nam giới. Từng bao xi măng đè lên vai, từng thúng cát đè lên đầu, từng xô xi măng thoăn thoắt đổ nền nhà, làm mái cho các công trình,…Hết mùa bê tông, lại đến mùa phun thuốc sâu thuê. Nhiều người trong làng bận việc hoặc tránh độc hại nên đến nhà nhờ bà Vi. Dù biết đi phun thuốc sâu, thuốc cỏ,… đều rất độc hại nhưng vì cơm áo, gạo, tiền và muốn 3 đứa con được ở lại Thủ đô nên bà chấp nhận tất cả. Bà lý giải, “tôi biết mấy đứa con tôi học đại học ngoài đó vất vả lắm. Tiền triệu ở nhà quê thì to nhưng so với Hà Nội thì chả thấm tháp vào đâu cả. Vì sợ ngoài đó chúng nó ăn mì tôm, lại còn đi làm thêm nữa thì khổ lắm. Mình khổ quen rồi nên ráng…” Bà Vi chỉ chiếc áo công nhân kể: “đứa con gái của tôi đã từng viết bài văn khiến cả trường xúc động về “chiếc áo phong sương” của mẹ.
...nhưng 26 năm qua, mẹ vẫn chờ một lần được nhận hoa 8/3
Niềm vui lớn nhất của tôi là nhìn thấy các con lần lượt được đội mũ cử nhân ra trường. Nó như một cái cây đến ngày hái quả. Tôi lấy đó mà cố gắng. Cũng có những lúc mủi lòng lắm, sinh ba đứa con ngày nào ríu rít chạy nhảy bên bố mẹ. Thoáng cái giờ đã khôn lớn, trưởng thành rồi đi học hết. Nhiều hôm đi làm về cảnh nhà vắng vẻ, tôi cũng buồn lắm. Nhưng rồi lại xua đi những cảm xúc đó. Vì tôi nghĩ hạnh phúc còn dài ở phía trước…Lắng đọng, suy nghĩ xa xôi, nước mắt của người mẹ này lăn dài trên đôi má đen sạm vì sương gió, vì nhớ con. Và vì những phút mủi lòng cần được an ủi…Tôi biết ba đứa con tôi có hiếu lắm, chúng nó từ nhỏ vất vả nên có nghị lực, cả ba đứa phấn đấu vào đại học để trả công cho tôi. Không phải mấy đứa không tặng hoa cho tôi là không có hiếu. Không phải vì chúng không nhớ hay vô tâm đâu. Có lẽ vì con nhà quê nên vụng về, e ngại không dám thể hiện tình cảm với mẹ.
Nhưng dù sao, suốt 26 năm qua tôi vẫn ao ước được một lần được cầm đoá hoa tươi thắm do chính tay các con tặng… Tôi vẫn chờ đến ngày đó”.
(Báo điện tử Bee.net.vn ngày 06/3/2012)
Câu 2 (12,0 điểm)
Bàn về thơ, nhà lí luận phê bình nổi tiếng của Trung Quốc, Viên Mai đã nói:
“Thơ là do cái tình sinh ra và đó phải là tình cảm chân thật”
Em hãy làm sáng tỏ ý kiến trên qua bài thơ Đọc Tiểu Thanh kí (Độc Tiểu Thanh kí) của Nguyễn Du.
Đề thi học sinh giỏi lớp 10 môn Lịch sử
|
UBND TỈNH THÁI NGUYÊN SỞ GIÁO DỤC VÀ ĐÀO TẠO ĐỀ CHÍNH THỨC |
KÌ THI CHỌN HỌC SINH GIỎI LỚP 10 THPT NĂM HỌC 2011 - 2012 MÔN LỊCH SỬ Thời gian: 150 phút không kể thời gian phát đề |
A. LỊCH SỬ THẾ GIỚI
Câu 1 (2,0 điểm). Nêu những biểu hiện sự phát triển về kinh tế, chính trị, văn hóa của xã hội phong kiến Trung Quốc dưới thời Đường?
Câu 2 (4,0 điểm). Phong trào Văn hoá Phục hưng:
a. Vì sao có sự xuất hiện của phong trào Văn hoá Phục hưng?
b. Hãy làm sáng tỏ nhận định: "Thời đại Văn hoá Phục hưng chứng kiến sự tiến bộ vượt bậc của khoa học - kĩ thuật, sự phát triển phong phú về văn học và sự nở rộ các tài năng".
c. Nêu ý nghĩa của phong trào Văn hoá Phục hưng.
B. LỊCH SỬ VIỆT NAM
Câu 3 (3,0 điểm). Lập bảng thống kê thời gian thống trị của các triều đại phong kiến Việt Nam từ thế kỉ XI đến thế kỉ XIV.
Câu 4 (6,0 điểm). Hãy nêu tên các cuộc kháng chiến lớn của nhân dân ta từ thế kỉ XI đến thế kỉ XVIII và phân tích một cuộc kháng chiến mà theo em là tiêu biểu nhất.
Câu 5 (5,0 điểm). Vì sao nói thời Lê sơ thế kỉ XV là giai đoạn phát triển thịnh đạt của nước Đại Việt?