Đề thi học sinh giỏi lớp 10 THPT Thuận Thành số 1 tỉnh Bắc Ninh năm 2013
Tổng hợp đề thi học sinh giỏi lớp 10 các môn
Vndoc.com gửi đến các bạn đề thi học sinh giỏi lớp 10 của trường THPT Thuận Thành số 1 tỉnh Bắc Ninh năm 2013. Tài liệu bao gồm đề thi và đáp án của 8 môn: Toán, Văn, Tiếng Anh, Lý, Hóa, Sinh, Sử, Địa. Đây là đề thi học sinh giỏi cấp trường hay giúp các em luyện đề và ôn tập kiến thức hiệu quả, giúp các thầy cô có thêm tài liệu bồi dưỡng học sinh giỏi. Mời quý thầy cô và các bạn tham khảo.
Đề thi học sinh giỏi lớp 10 THPT tỉnh Thái Nguyên năm 2011 - 2012
Đề thi học sinh giỏi lớp 10 THPT tỉnh Hà Tĩnh năm học 2012 - 2013 môn Vật lý - Có đáp án
Đề thi học sinh giỏi môn Hóa học lớp 10 năm học 2014 - 2015 trường THPT Long Châu Sa, Phú Thọ
Đề thi học sinh giỏi lớp 10 môn Toán
|
SỞ GD&ĐT BẮC NINH TRƯỜNG THPT THUẬN THÀNH SỐ 1 ĐỀ THI CHÍNH THỨC |
ĐỀ THI HỌC SINH GIỎI LỚP 10 CẤP TRƯỜNG NĂM HỌC: 2012 -2013 MÔN THI: TOÁN (Thời gian: 120 phút) Ngày: 14/03/2013 |
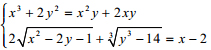
Câu 1 (2,0 điểm).
Giải phương trình: ![]()
Câu 2 (2,0 điểm).
Giải hệ phương trình: 
Câu 3 (1,5 điểm).
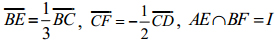
Cho hình vuông ABCD. E,F là hai điểm thoả mãn:
. Biểu diễn
theo
. Từ đó chứng minh góc AIC bằng 90o.
Câu 4 (1,5 điểm).
Chứng minh rằng nếu các cạnh và các góc của tam giác ABC thoả mãn điều kiện:
thì tam giác đó vuông
Câu 5 (1,5 điểm).
Cho tam giác ABC vuông cân tại A, M(1;-1) là trung điểm của BC, trọng tâm G(2/3; 0). Tìm tọa độ A, B, C?
Câu 6 (1,5 điểm).
Cho a,b,c là các số thực không âm thoả mãn: a2 + b2 + c2 = 3. Tìm giá trị lớn nhất của biểu thức: P = ab2 + bc2 + ca2 - abc
Đề thi học sinh giỏi lớp 10 môn Ngữ văn
|
SỞ GD&ĐT BẮC NINH TRƯỜNG THPT THUẬN THÀNH SỐ 1 ĐỀ THI CHÍNH THỨC |
ĐỀ THI HỌC SINH GIỎI LỚP 10 CẤP TRƯỜNG NĂM HỌC: 2012 -2013 MÔN THI: NGỮ VĂN |
Câu 1 (8 điểm).
Anh/chị hãy đọc, trình bày hiểu biết và suy nghĩ của mình về câu chuyện sau:
NGƯỜI ĐI SĂN VÀ CON VƯỢN
Có một người rất tài săn bắn. Nếu con thú rừng nào không may gặp bác ta thì đó coi như ngày tận số.
Một hôm, người đi săn xách nỏ vào rừng. Bác thấy một con vượn lông xám đang ngồi ôm con trên tảng đá. Bác nhẹ nhàng rút mũi tên bắn trúng tim con vượn mẹ.
Vượn mẹ giật mình, hết nhìn mũi tên lại nhìn về phía người đi săn bằng đôi mắt căm giận, tay không rời con. Máu ở vết thương từ từ rỉ ra loang khắp mũi tên.
Người đi săn đứng im chờ kết quả ....
Bỗng vượn mẹ nhẹ nhàng đặt con nằm xuống, vơ vội nắm bùi nhùi gối lên đầu con, rồi nó hái cái lá to, vắt sữa vào và đặt lên miệng con. Sau đó, vượn mẹ nghiến răng giật phắt mũi tên ra, rú lên một tiếng ghê rợn rồi từ từ gục xuống.
Người đi săn đứng lặng. Hai giọt nước mắt từ từ lăn trên má. Bác mắm môi bẻ gãy cung nỏ và lẳng lặng quay gót ra về.
Từ đấy, bác không bao giờ đi săn nữa.
(Theo Lép Tônxtôi)
Câu 2 (12 điểm).
Trong dịp kỉ niệm 600 năm ngày sinh Nguyễn Trãi, nói về Bình Ngô đại cáo, Đại tướng Võ Nguyên Giáp đã nhận xét: "Bình Ngô đại cáo có giá trị như bản Tuyên ngôn độc lập lần thứ hai của nước Đại Việt (...) Bình Ngô đại cáo còn là bản tuyên ngôn nhân đạo và hoà bình của nhà nước Đại Việt".
Hãy làm sáng tỏ nhận xét trên qua tác phẩm Bình Ngô đại cáo của Nguyễn Trãi.
Đề thi học sinh giỏi lớp 10 môn Vật lý
|
SỞ GD&ĐT BẮC NINH TRƯỜNG THPT THUẬN THÀNH SỐ 1 ĐỀ THI CHÍNH THỨC |
ĐỀ THI HỌC SINH GIỎI LỚP 10 CẤP TRƯỜNG NĂM HỌC: 2012 -2013 MÔN THI: VẬT LÝ |
Bài 1 (1,5 điểm).
Một chất điểm chuyển động tròn đều trên quỹ đạo có bán kính R = 2m với vận tốc v = 5m/s. Hãy xác định chu kì, tần số và tốc độ góc của chất điểm.
Bài 2 (3,0 điểm).
Một vật khối lượng M = 4kg nằm trên mặt phẳng ngang nhẵn và được nối với tường bằng một lò xo có độ cứng k = 100N/m. Một vật khối lượng m = 10g bay theo phương ngang và trùng với trục của lò xo, v ới vận tốc v = 400m/s đến va chạm với M. Coi va chạm là mềm. Hãy xác định:
a. Vận tốc của hai vật ngay sau khi va chạm.
b. Độ nén cực đại của lò xo.
![]()
Bài 3 (3,0 điểm).
Một khí cầu đang bay lên cao theo phương thẳng đứng với vận tốc không đổi bằng 4m/s, khi khí cầu ở độ cao h = 19,2m so với mặt đất người ta thả nhẹ nhàng một vật nặng. Bỏ qua lực cản, lấy g = 10m/s2 và coi vận tốc của khí cầu không đổi sau khi thả vật.
a. Xác định khoảng cách giữa vật và khí cầu sau 1s kể từ lúc thả vật.
b. Sau bao lâu thì vật nặng chạm đất.
Bài 4 (2,5 điểm).
Thanh AB có khối lượng m1 = 2kg, gắn vào tường nhờ bản lề tại B. Đầu A treo vậtnặng có khối lượng m2 = 2kg và được giữ cân bằng nhờ dây AC. C được buộc chặt vào tường. Biết AC vuông góc BC, AC = BC. Xác định lực căng của dây AC và độ lớn phản lực của tường tác dụng lên thanh AB.

Các bạn có thể xem chi tiết và tải đề thi từng môn tại đây:
- Đề thi học sinh giỏi lớp 10 môn Toán có đáp án
- Đề thi học sinh giỏi lớp 10 môn Lý có đáp án
- Đề thi học sinh giỏi lớp 10 môn Hóa có đáp án
- Đề thi học sinh giỏi lớp 10 môn Sinh có đáp án
- Đề thi học sinh giỏi lớp 10 môn Văn có đáp án
- Đề thi học sinh giỏi lớp 10 môn Sử có đáp án
- Đề thi học sinh giỏi lớp 10 môn Địa có đáp án
- Đề thi học sinh giỏi lớp 10 môn Tiếng Anh có đáp án