Giao diện mới của VnDoc Pro: Dễ sử dụng hơn - chỉ tập trung vào lớp bạn quan tâm. Vui lòng chọn lớp mà bạn quan tâm: Lưu và trải nghiệm
Đóng
Điểm danh hàng ngày
  • Hôm nay +3
  • Ngày 2 +3
  • Ngày 3 +3
  • Ngày 4 +3
  • Ngày 5 +3
  • Ngày 6 +3
  • Ngày 7 +5
Bạn đã điểm danh Hôm nay và nhận 3 điểm!
Nhắn tin Zalo VNDOC để nhận tư vấn mua gói Thành viên hoặc tải tài liệu Hotline hỗ trợ: 0936 120 169

Đề thi học sinh giỏi lớp 12 THPT tỉnh Bến Tre năm 2012 - 2013 môn Toán

Lớp: Lớp 12
Dạng tài liệu: Đề thi HSG
Loại File: PDF
Phân loại: Tài liệu Tính phí

Nhằm giúp các bạn chuẩn bị thật tốt kiến thức để làm bài thi đạt hiệu quả cao, Vndoc.com xin giới thiệu: Đề thi học sinh giỏi lớp 12 THPT tỉnh Bến Tre năm 2012 - 2013 môn Toán.

Đề thi học sinh giỏi môn Toán:

SỞ GIÁO DỤC VÀ ĐÀO TẠO
BẾN TRE

ĐỀ THI CHÍNH THỨC

KỲ THI CHỌN HỌC SINH GIỎI LỚP 12 THPT CẤP TỈNH
NĂM HỌC 2012 - 2013

MÔN THI: TOÁN
Thời gian làm bài: 180 phút (không kể thời gian giao đề)

Bài 1: (4 điểm)

Cho P là điểm nằm trên hyperbol xy = 4 và Q là điểm nằm trên elip x2 + 4y2 = 4. Chứng minh độ dài đoạn PQ lớn hơn 1.

Bài 2: (4 điểm)

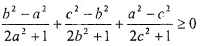
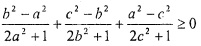
Chứng minh bất đẳng thức: Đề thi học sinh giỏi lớp 12 THPT tỉnh Bến Tre năm 2012 - 2013 môn Toánvới mọi số thực a, b, c.

Bài 3: (4 điểm)

Cho dãy số {xn}1 được xác định như sau:

Đề thi học sinh giỏi lớp 12 THPT tỉnh Bến Tre năm 2012 - 2013 môn Toán

Tìm công thức tổng quát của dãy.

Bài 4: (4 điểm)

Cho tập hợp A có n phần tử, n > 4 Tìm n biết rằng số tập con của A có số phần tử là lẻ bằng 2048n.

Bài 5: (4 điểm)

Tìm hàm số f: N* -> N* (N* là tập các số tự nhiên dương) thỏa mãn: f(n) + 2f(f(n)) = 3n + 5 với mọi n thuộc N*.

Chọn file muốn tải về:
Đóng Chỉ thành viên VnDoc PRO/PROPLUS tải được nội dung này!
Đóng
79.000 / tháng
Đặc quyền các gói Thành viên
PRO
Phổ biến nhất
PRO+
Tải tài liệu Cao cấp 1 Lớp
30 lượt tải tài liệu
Xem nội dung bài viết
Trải nghiệm Không quảng cáo
Làm bài trắc nghiệm không giới hạn
Mua cả năm Tiết kiệm tới 48%
1

Có thể bạn quan tâm

Xác thực tài khoản!

Theo Nghị định 147/2024/ND-CP, bạn cần xác thực tài khoản trước khi sử dụng tính năng này. Chúng tôi sẽ gửi mã xác thực qua SMS hoặc Zalo tới số điện thoại mà bạn nhập dưới đây:

Số điện thoại chưa đúng định dạng!
Số điện thoại này đã được xác thực!
Bạn có thể dùng Sđt này đăng nhập tại đây!
Lỗi gửi SMS, liên hệ Admin
Sắp xếp theo
🖼️

Thi học sinh giỏi lớp 12

Xem thêm
🖼️

Gợi ý cho bạn

Xem thêm