Đề thi học sinh giỏi môn Toán lớp 7 huyện Tam Dương, Vĩnh Phúc năm học 2016 - 2017
Đề thi học sinh giỏi môn Toán lớp 7
Đề thi học sinh giỏi môn Toán lớp 7 huyện Tam Dương, Vĩnh Phúc năm học 2016 - 2017 được VnDoc sưu tầm chọn lọc giúp các em học sinh chuẩn bị thật tốt về kiểm thức cũng như kỹ năng cho kì thi chọn học sinh giỏi môn Toán lớp 7.
Đề thi học sinh giỏi môn Toán lớp 7 Phòng GD&ĐT Thạch Thành, Thanh Hóa năm học 2016 - 2017
Đề thi học sinh giỏi môn Toán lớp 7 trường THCS Hoằng Phụ, Thanh Hóa năm học 2016 - 2017
|
PHÒNG GD&ĐT TAM DƯƠNG
ĐỀ CHÍNH THỨC
|
ĐỀ THI GIAO LƯU HỌC SINH GIỎI LỚP 7 NĂM HỌC 2016 - 2017 MÔN: TOÁN 7 Thời gian làm bài: 120 phút, không kể thời gian giao đề Đề thi gồm 01 trang |
Chú ý: Thí sinh không được sử dụng máy tính cầm tay!
Câu 1. (2,0 điểm)
a) Tìm x biết: ||3x - 3| + 2x + (-1)2016| = 3x + 20170.
b) Cho
. Tìm số nguyên dương x để B = 115.
Câu 2. (2,0 điểm)
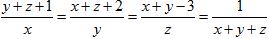
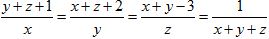
a) Cho x, y, z là các số thực thỏa mãn
.
Tính giá trị của biểu thức: A = 2016.x + y2017 + z2017.
b) Cho x, y, z là các số thực thỏa mãn: 2x = 3y = 5z và |x - 2y| = 5.
Tìm giá trị lớn nhất của 3x – 2z.
Câu 3. (2,0 điểm)
a) Tìm giá trị nguyên của x để biểu thức
có giá trị nhỏ nhất.
b) Cho đa thức f(x) = 2016.x4 – 32(25.k + 2).x2 + k2 – 100 (với k là số thực dương cho trước). Biết đa thức f(x) có đúng ba nghiệm phân biệt a, b, c (với a < b < c). Tính hiệu của a – c.
Câu 4. (2,5 điểm) Cho đoạn thẳng BC cố định, M là trung điểm của đoạn thẳng BC. Vẽ góc CBx sao cho góc CBx = 45o, trên tia Bx lấy điểm A sao cho độ dài đoạn thẳng BM và BA tỉ lệ với 1 và √2. Lấy điểm D bất kì thuộc đoạn thẳng BM. Gọi H và I lần lượt là hình chiếu của B và C trên đường thẳng AD. Đường thẳng AM cắt CI tại N. Chứng minh rằng:
a) DN vuông góc với AC.
b) BH2 + CI2 có giá trị không đổi khi D di chuyển trên đoạn thẳng BM.
c) Tia phân giác của góc HIC luôn đi qua một điểm cố định.
Câu 5. (1,5 điểm)
a) Tìm các số nguyên tố p thỏa mãn 2p + p2 là số nguyên tố.
b) Trong một bảng ô vuông gồm có 5x5 ô vuông, người ta viết vào mỗi ô vuông chỉ một trong 3 số 1; 0 hoặc -1. Chứng minh rằng trong các tổng của 5 số theo mỗi cột, mỗi hàng, mỗi đường chéo phải có ít nhất hai tổng số bằng nhau.
--------------Hết----------------
Cán bộ coi thi không giải thích gì thêm.
Họ và tên thí sinh: ....................................................SBD:..............Phòng thi.................
Đáp án đề thi học sinh giỏi môn Toán lớp 7


