Đề thi học sinh giỏi môn Toán lớp 7 trường THCS Hoằng Phụ, Thanh Hóa năm học 2016 - 2017
Đề thi học sinh giỏi môn Toán lớp 7 có đáp án
Lớp:
Lớp 7
Môn:
Toán
Dạng tài liệu:
Đề thi HSG
Loại File:
Word + PDF
Phân loại:
Tài liệu Tính phí
Đề thi học sinh giỏi môn Toán lớp 7
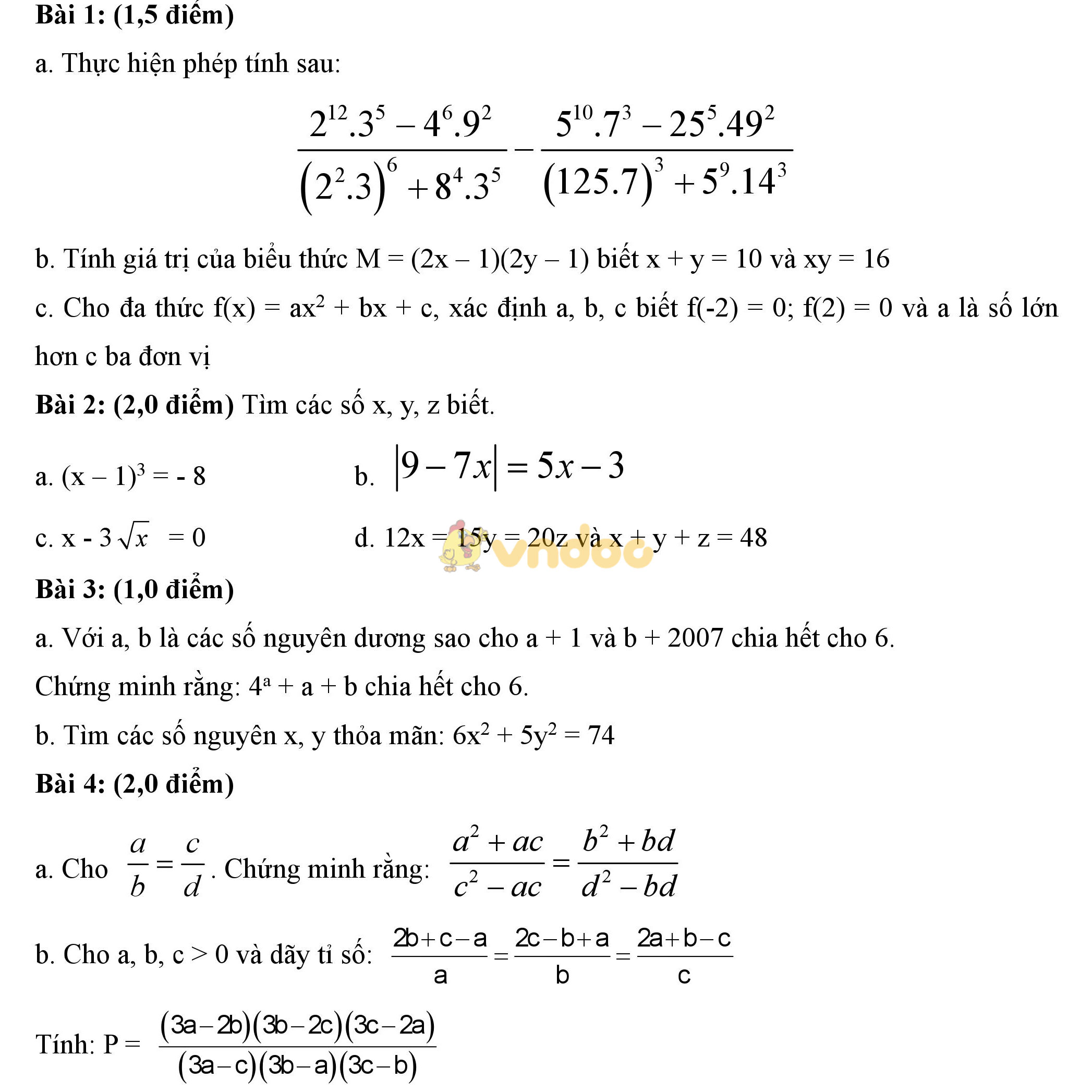
Đề thi học sinh giỏi môn Toán lớp 7 trường THCS Hoằng Phụ, Thanh Hóa năm học 2016 - 2017. Đề thi gồm có 6 câu hỏi tự luận với thời gian làm bài là 120 phút. Và để giúp các bạn học sinh thuận tiện hơn trong quá trình tự đối chiếu kết quả bài làm của chính mình VnDoc.com đã cập nhật đầy đủ và chính xác đáp án cùng thang điểm. Mời các bạn cùng tham khảo.
PHÒNG GD&ĐT HOẰNG HÓA
TRƯỜNG THCS HOẰNG PHỤ
ĐỀ THI HỌC SINH GIỎI NĂM HỌC 2016 - 2017
MÔN: TOÁN LỚP 7
Thời gian làm bài: 120 phút


Đáp án đề thi học sinh giỏi môn Toán lớp 7


