Đề thi học sinh giỏi tỉnh Hà Tĩnh môn Toán lớp 9 năm học 2010 - 2011
Đề thi học sinh giỏi môn Toán lớp 9
Đề thi học sinh giỏi tỉnh Hà Tĩnh môn Toán lớp 9 năm học 2010 - 2011 được VnDoc.com sưu tầm và giới thiệu tới quý thầy cô và các em học sinh. Đây sẽ là tài liệu hay giúp các em củng cố kiến thức đã học, biết được phần nào khả năng của mình nhằm có định hường ôn thi học sinh giỏi lớp 9 môn Toán thích hợp nhất. Chúc các em học tốt.
Đề thi học sinh giỏi môn Toán lớp 9 năm học 2015 - 2016 trường THCS Thanh Văn, Hà Nội
| SỞ GIÁO DỤC VÀ ĐÀO TẠO HÀ TĨNH (Đề thi chính thức) |
KỲ THI CHỌN HỌC SINH GIỎI CẤP TỈNH NĂM HỌC 2010 – 2011 Môn thi: TOÁN - Lớp: 9 Thời gian làm bài: 150 phút Ngày thi: 17/03/2011 |
Bài 1. Cho phương trình:

a) Giải phương trình khi m = 2.
b) Tìm m để phương trình có đúng hai nghiệm dương phân biệt.
Bài 2
a) Cho a, b, c là những số nguyên thỏa mãn điều kiện:

Chứng minh rằng a3 + b3 + c3 chia hết cho 3.
b) Giải phương trình: x3 + ax2 + bx + 1 =0, biết rằng a, b là các số hữu tỉ và
là một nghiệm của phương trình.
Bài 3. Cho x, y là các số nguyên dương, thỏa mãn: x + y = 2011
Tìm giá trị lớn nhất và nhỏ nhất của biểu thức: P = x(x2 + y) + y(y2 + x)
Bài 4. Cho nửa đường tròn tâm O, đường kính AB = 2R, một dây cung MN = R di chuyển trên nửa đường tròn. Qua M kẻ đường thẳng song song với ON cắt đường thẳng AB tai E. Qua N kẻ đường thẳng song song với OM cắt đường thẵng AB tại F.
a) Chứng minh tam giác MNE và tam giác NFM đồng dạng .
b) Gọi K là giao điểm của EN và FM. Hãy xác định vị trí của dây MN để tam giác MKN có chu vi lớn nhất.
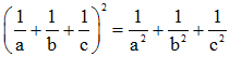
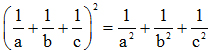
Bài 5. Cho a, b, c là những số dương thỏa mãn: abc = 1. Chứng minh:
