Đề thi khảo sát chất lượng đầu năm môn Toán lớp 12 trường THPT Kim Sơn A, Ninh Bình năm học 2016 - 2017
Đề thi khảo sát chất lượng đầu năm môn Toán lớp 12
Đề thi khảo sát chất lượng đầu năm môn Toán lớp 12 trường THPT Kim Sơn A, Ninh Bình năm học 2016 - 2017 là tài liệu tham khảo hay được Vndoc.com sưu tầm. Đề gồm 4 câu hỏi tự luận với thời gian làm bài là 90 phút, có sẵn đáp án. Mời các bạn tham khảo.
| SỞ GD & ĐT NINH BÌNH TRƯỜNG THPT KIM SƠN A |
ĐỀ THI KHẢO SÁT CHẤT LƯỢNG ĐẦU NĂM NĂM HỌC 2016 - 2017 MÔN: TOÁN - LỚP 12 Thời gian làm bài: 90 phút |
Câu I (3,0 điểm).
1) Tìm các giới hạn sau:

2) Cho hàm số:
. Giải phương trình: y' = 0
Câu II (3,0 điểm).
1) Cho hàm số y = x3 - 3x2 + 2. Hãy thực hiện các yêu cầu sau:
Tìm tập xác định
Tìm giới hạn ![]()
Tìm x sao cho y' = 0
Tìm x sao cho y' > 0 tìm x sao cho y' < 0
2) Tìm m để phương trình: x3 - 3x2 + 2 = mx - 2m - 2 có 3 nghiệm phân biệt sao cho tổng các bình phương các nghiệm đó bằng 2016.
Câu III (2,0 điểm).
Cho hình chóp S.ABCD có đáy ABCD là hình vuông cạnh 3a. Cạnh bên SA vuông góc với đáy và SA = 3a. Gọi M, N lần lượt là trung điểm của SB và SD.
1) Chứng minh AM vuông góc với SC
2) Mặt phẳng (AMN) cắt SC tại I. Tính tỉ số ![]()
Câu IV (2,0 điểm).
1) Trong mặt phẳng tọa độ Oxy, cho hình chữ nhật ABCD có A(0;2). Gọi H là hình chiếu vuông góc của B lên AC. Trên tia đối của HB lấy điểm E sao cho BE = BD. Biết phương trình đường thẳng DE: x – y = 0. Gọi A' đối xứng với A qua DE. Tìm tọa độ điểm A' và tọa độ điểm D.
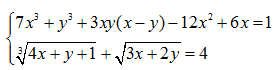
2) Giải hệ phương trình sau: 
=========== Hết ============