Đề thi khảo sát chất lượng đầu năm môn Toán lớp 12 trường THPT Phước Bình, Bình Phước năm học 2016 - 2017
Đề thi khảo sát chất lượng đầu năm môn Toán lớp 12
Đề thi khảo sát chất lượng đầu năm môn Toán lớp 12 trường THPT Phước Bình, Bình Phước năm học 2016 - 2017 là tài liệu tham khảo hay được Vndoc.com sưu tầm, nhằm giúp các bạn học sinh lớp 12 ôn tập và củng cố kiến thức chuẩn bị cho kỳ thi học kỳ I sắp tới. Mời các bạn tham khảo.
250 câu hỏi trắc nghiệm môn Toán lớp 12
Bài tập trắc nghiệm cực trị của hàm số và điểm uốn (Có đáp án)
| SỞ GD & ĐT BÌNH PHƯỚC TRƯỜNG THPT PHƯỚC BÌNH |
ĐỀ THI KHẢO SÁT CHẤT LƯỢNG ĐẦU NĂM NĂM HỌC 2016 - 2017 MÔN: TOÁN - LỚP 12 Thời gian làm bài: 60 phút |
Câu 1: Đồ thị hàm số y = ax3 + bx2 - x + 3 có điểm uốn là I(-2; 1) khi:
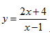
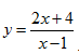
Câu 2: Gọi M, N là giao điểm của đường thẳng y = x+1 và đường cong
Khi đó hoành độ trung điểm I của đoạn thẳng MN bằng
A. 5/2 B. 2 C. 1 D. -5/2
Câu 3: Đồ thi hàm số
đạt cực đại tại x = 2 khi:
A. Không tồn tại m B. m = -1 C. m = 1 D. ![]()
Câu 4: Hàm số y = x3 - 3x2 + mx đạt cực tiểu tại x = 2 khi:
A. m > 0 B. m < 0 C. m = 0 D. ![]()
Câu 5: Cho hàm số
Giá trị nhỏ nhất của hàm số trên
bằng
A.
B. 0 C. 2 D. 1
Câu 6: Đồ thi hàm số nào sau đây có 3 điểm cực trị:
A. y = 2x4 + 4x2 + 1 B. y = x4 + 2x2 - 1
C. y = x4 - 2x2 - 1 D. y = - x4 - 2x2 - 1
Câu 7: Cho hàm số y = –x3 + 3x2 – 3x + 1, mệnh đề nào sau đây là đúng?
A. Hàm số đạt cực tiểu tại x = 1 B. Hàm số đạt cực đại tại x = 1
C. Hàm số luôn luôn đồng biến D. Hàm số luôn luôn nghịch biến
Câu 8: Đồ thi hàm số nào sau đây có hình dạng như hình vẽ bên
A. y = x3 + 3x + 1 B. y = x3 - 3x + 1 C. y = -x3 - 3x + 1 D. - x3 + 3x + 1
Câu 9: Bảng dưới đây biểu diễn sự biến thiên của hàm số
A. Một hàm số khác. B.
C.
D. ![]()
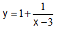
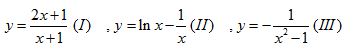
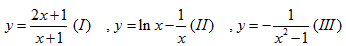
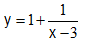
Câu 10: Trong các hàm số sau , những hàm số nào luôn đồng biến trên từng khoảng xác định của nó:
![]()
A. ( I ) và ( II ) B. Chỉ ( I ) C. ( II ) và ( III ) D. ( I ) và (III)