Giao diện mới của VnDoc Pro: Dễ sử dụng hơn - chỉ tập trung vào lớp bạn quan tâm. Vui lòng chọn lớp mà bạn quan tâm: Lưu và trải nghiệm
Đóng
Điểm danh hàng ngày
  • Hôm nay +3
  • Ngày 2 +3
  • Ngày 3 +3
  • Ngày 4 +3
  • Ngày 5 +3
  • Ngày 6 +3
  • Ngày 7 +5
Bạn đã điểm danh Hôm nay và nhận 3 điểm!
Nhắn tin Zalo VNDOC để nhận tư vấn mua gói Thành viên hoặc tải tài liệu Hotline hỗ trợ: 0936 120 169

Bài tập trắc nghiệm cực trị của hàm số và điểm uốn (Có đáp án)

Lớp: Lớp 12
Môn: Toán
Loại File: Word + PDF
Phân loại: Tài liệu Tính phí

Bài tập trắc nghiệm cực trị của hàm số và điểm uốn

Bài tập trắc nghiệm cực trị của hàm số và điểm uốn là tài liệu luyện thi THPT Quốc gia môn Toán hay dành cho các bạn học sinh tham khảo nhằm ôn tập, củng cố kiến thức, làm quen với các dạng đề trắc nghiệm để đạt kết quả cao trong bài thi trắc nghiệm môn Toán năm 2020. Mời các bạn cùng tham khảo.

VnDoc.com xin gửi tới bạn đọc bài viết Bài tập trắc nghiệm cực trị của hàm số và điểm uốn (Có đáp án) để bạn đọc cùng tham khảo. Bài viết gồm có 22 câu hỏi trắc nghiệm về cực trị của hàm số và có đáp án kèm theo. Mời các bạn cùng tham khảo chi tiết tại đây.

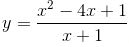
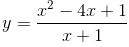
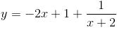
Câu 1: Trong các khẳng định sau về hàm số Bài tập trắc nghiệm cực trị của hàm số và điểm uốn (Có đáp án) khẳng định nào là đúng?

A. Hàm số có điểm cực tiểu là x = 0

B. Hàm số có hai điểm cực đại là x = 1; x = -1

C. Cả A và B đều đúng

D. Chỉ có A là đúng

Câu 2: Trong các mệnh đề sau, hãy tìm mệnh đề sai:

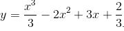
A. Hàm số y = -x3 + 3x2 - 3 có cực đại và cực tiểu

B. Hàm số y = x3 + 3x2 + 1 có cực trị

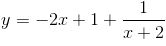
C. Hàm số Bài tập trắc nghiệm cực trị của hàm số và điểm uốn (Có đáp án) không có cực trị

D. Hàm số Bài tập trắc nghiệm cực trị của hàm số và điểm uốn (Có đáp án) có 2 cực trị

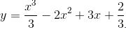
Câu 3: Tìm kết quả đúng về giá trị cực đại và giá trị cực tiểu của hàm số Bài tập trắc nghiệm cực trị của hàm số và điểm uốn (Có đáp án)

A. yCD = 1; yCT = 9

B. yCD = 1; yCT = -9

C. yCD = -1; yCT = 9

D. yCD = 9; yCT = 1

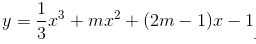
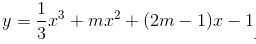
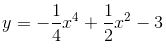
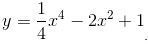
Câu 4: Cho hàm số Bài tập trắc nghiệm cực trị của hàm số và điểm uốn (Có đáp án). Mệnh đề nào sau đây là sai?

A. Với mọi m khác 1 thì hàm số có cực đại, cực tiểu

B. ∀m > 1 thì hàm số có cực trị

C. ∀m < 1 thì hàm số có cực trị

D. Hàm số luôn luôn có cực đại và cực tiểu.

Câu 5: Điểm cực tiểu của đồ thị hàm số y = -x3 + 3x + 4 là?

A. x = -1

B. x = 1

C. (-1; 2)

D. (1; 6)

Câu 6: Điểm cực đại của hàm số Bài tập trắc nghiệm cực trị của hàm số và điểm uốn (Có đáp án)

A. x = 0

B. x = √2; x = -√2

C. (0; -3)

D. (√2; -5); (-√2; -5)

Câu 7: Cho hàm số Bài tập trắc nghiệm cực trị của hàm số và điểm uốn (Có đáp án). Hàm số có hai điểm cực trị x1; x2. Tích x1; x2 có giá trị bằng:

A. – 2

B. – 5

C. -1

D. – 4

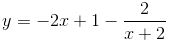
Câu 8: Cho hàm số Bài tập trắc nghiệm cực trị của hàm số và điểm uốn (Có đáp án). Tọa độ điểm cực đại của hàm số là

A. (-1; 2)

B. (1; 2)

C. (3; 2/3)

D. (1; -2)

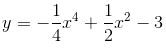
Câu 9: Cho hàm số Bài tập trắc nghiệm cực trị của hàm số và điểm uốn (Có đáp án). Hàm số có

A. Một cực đại và hai cực tiểu

B. Một cực tiểu và hai cực đại

C. Một cực đại và không có cực tiểu

D. Môt cực tiểu và một cực đại

Câu 10: Cho hàm số y = x3 - 3x + 1. Tích các giá trị cực đại và cực tiểu của đồ thị hàm số bằng

A. – 6

B. – 3

C. 0

D. 3

Câu 11: Hàm số y = x3-mx+1 có 2 cực trị khi

A. m = 0

B. m < 0

C. m > 0

D. m ≠ 0

Câu 12: Hàm số y = x3-3x+1 có điểm cực tiểu là

A. (-1; -1)

B. (-1; 3)

C. (-1; 1)

D. (1; 3)

(Còn tiếp)

Đáp án bài tập trắc nghiệm cực trị của hàm số và điểm uốn

1

C

6

A

11

C

16

C

21

C

2

B

7

B

12

A

17

A

22

A

3

D

8

B

13

D

18

C

 

 

4

D

9

A

14

A

19

D

 

 

5

C

10

B

15

A

20

C

 

 

Trên đây VnDoc.com vừa giới thiệu tới các bạn Bài tập trắc nghiệm cực trị của hàm số và điểm uốn (Có đáp án), mong rằng qua bài viết này các bạn có thể học tập tốt hơn môn Toán lớp 12. Mời các bạn cùng tham khảo thêm các môn Ngữ văn 12, tiếng Anh 12, đề thi học kì 1 lớp 12, đề thi học kì 2 lớp 12...

Mời bạn đọc cùng tham gia nhóm Tài liệu học tập lớp 12 để có thêm tài liệu học tập nhé

Luyện tập mở rộng
Chọn file muốn tải về:
Đóng Chỉ thành viên VnDoc PRO/PROPLUS tải được nội dung này!
Đóng
79.000 / tháng
Đặc quyền các gói Thành viên
PRO
Phổ biến nhất
PRO+
Tải tài liệu Cao cấp 1 Lớp
30 lượt tải tài liệu
Xem nội dung bài viết
Trải nghiệm Không quảng cáo
Làm bài trắc nghiệm không giới hạn
Mua cả năm Tiết kiệm tới 48%

Có thể bạn quan tâm

Xác thực tài khoản!

Theo Nghị định 147/2024/ND-CP, bạn cần xác thực tài khoản trước khi sử dụng tính năng này. Chúng tôi sẽ gửi mã xác thực qua SMS hoặc Zalo tới số điện thoại mà bạn nhập dưới đây:

Số điện thoại chưa đúng định dạng!
Số điện thoại này đã được xác thực!
Bạn có thể dùng Sđt này đăng nhập tại đây!
Lỗi gửi SMS, liên hệ Admin
Sắp xếp theo
🖼️

Toán 12

Xem thêm
🖼️

Gợi ý cho bạn

Xem thêm