Toán 12 bài 1: Nguyên hàm
Bảng nguyên hàm Toán 12
Để giúp các bạn học sinh lớp 12 học tập tốt hơn môn Toán, VnDoc xin mời các bạn tham khảo tài liệu Toán 12 Bài 1: Nguyên hàm. Bộ tài liệu được xây dựng dựa trên kiến thức trọng tâm chương trình Toán 12 và đề thi THPT Quốc gia. Hi vọng tài liệu này sẽ giúp các bạn ôn thi THPT Quốc gia môn Toán trắc nghiệm hiệu quả.
- Hình lăng trụ là gì? Lăng trụ tam giác đều, tứ giác đều, lục giác
- Tìm giá trị lớn nhất nhỏ nhất của hàm số lượng giác
- 300 câu hỏi trắc nghiệm môn Toán lớp 12 (Có đáp án)
- Bài tập trắc nghiệm cực trị của hàm số và điểm uốn (Có đáp án)
- Bài tập trắc nghiệm thể tích khối đa diện (Có đáp án)
Để tiện trao đổi, chia sẻ kinh nghiệm về giảng dạy và học tập các môn học lớp 12, VnDoc mời các thầy cô giáo, các bậc phụ huynh và các bạn học sinh truy cập nhóm riêng dành cho lớp 12 sau: Nhóm Tài liệu học tập lớp 12. Rất mong nhận được sự ủng hộ của các thầy cô và các bạn.
Bản quyền thuộc về VnDoc.
Nghiêm cấm mọi hình thức sao chép nhằm mục đích thương mại.
A. Tóm tắt lý thuyết và công thức nguyên hàm
1. Định nghĩa nguyên hàm
- Định nghĩa: Cho hàm số
\(y=f\left( x \right)\) xác định trên tập D. Hàm
\(F\left( x \right)\) gọi là nguyên hàm của
\(f\left( x \right)\) nếu đạo hàm của nó
\(F\left( x \right)\) bằng
\(f\left( x \right)\) với mọi x thuộc D.
Ví dụ:
- Hàm
\(F\left( x \right)={{x}^{3}}\) là nguyên hàm của hàm số y = 3x trên R vì
\(F'\left( x \right)=f\left( x \right)\)
- Hàm
\(F\left( x \right)=\frac{1}{2}{{x}^{2}}\) là nguyên hàm của hàm số
\(y=x\) vì
\(F'\left( x \right)=f\left( x \right)\)
- Họ nguyên hàm:
+ Nếu F(x) là là một nguyên hàm của hàm f(x) trên D thì F(x) + C (với C là hằng số) cũng là một nguyên hàm của f(x) trên D.
+ Nếu F(x) là một nguyên hàm của f(x) trên D thì mọi nguyên hàm của f(x) trên D đều có dạng F(x) + C (với C là hằng số), khi đó F(x) + C được gọi là họ nguyên hàm của f(x) trên D, kí hiệu:
\(\int{f\left( x \right)dx=F\left( x \right)+C}\)
Chú ý: Vì
\(dF\left( x \right)=F'\left( x \right)dx=f\left( x \right)dx\) nên biểu thức f(x) cũng chính là vi phân của F(x).
2. Tính chất của nguyên hàm
Tính chất 1:
\(\int{f'\left( x \right)dx=f\left( x \right)+C}\)
Tính chất 2:
\(\int{k.f\left( x \right)dx=k.}\int{f\left( x \right)dx}\) (với k là một hằng số)
Tính chất 3:
\(\int{\left[ f\left( x \right)+g\left( x \right) \right]dx=\int{f\left( x \right)dx}+\int{g\left( x \right)dx}}\)
Tính chất 4: Mọi hàm số f(x) liên tục trên D đều có nguyên hàm trên D.
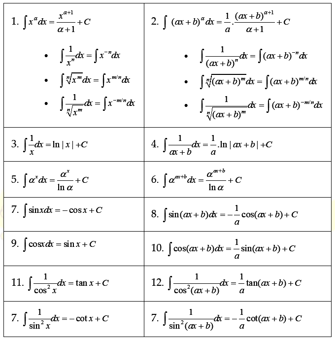
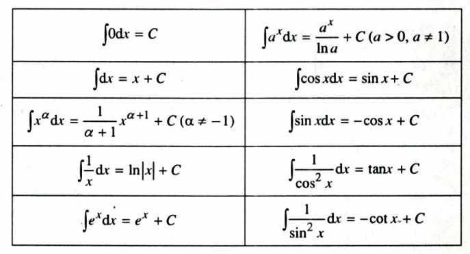
3. Bảng nguyên hàm của một số hàm thường gặp
\(F'\left( x \right)=f\left( x \right)\Rightarrow \int{f\left( x \right)dx=F\left( x \right)+C}\)
- Ta có các bảng nguyên hàm của một số hàm thường gặp dưới đây:
Bảng nguyên hàm cơ bản
Bảng nguyên hàm tích phân thường gặp

4. Phương pháp tính nguyên hàm
a. Phương pháp đổi biến số
Nếu
\(\int{f\left( u \right)du=F\left( u \right)+C}\) và
\(u=u\left( x \right)\) là hàm số có đạo hàm liên tục thì
\(\int{f\left( u\left( x \right) \right)u'\left( x \right)dx=F\left( u\left( x \right) \right)+C}\)
b. Phương pháp tính nguyên hàm từng phần
Nếu hai hàm số
\(u=u\left( x \right)\) và
\(v=v\left( x \right)\) có đạo hàm liên tục trên D thì
\(\int{u\left( x \right)v'\left( x \right)dx=u\left( x \right)v\left( x \right)-\int{u'\left( x \right)v\left( x \right)dx}}\)
B. Giải SGK Toán 12 Bài 1
Trong Sách giáo khoa Toán lớp 12, các bạn học sinh chắc hẳn sẽ gặp những bài toán khó, phải tìm cách giải quyết. Hiểu được điều này, VnDoc đã tổng hợp và gửi tới các bạn học sinh lời giải và đáp án chi tiết cho các bài tập trong Sách giáo khoa Toán lớp 12. Mời các bạn học sinh tham khảo:
C. Giải SBT Toán 12 Bài 1
Sách bài tập Toán 12 tổng hợp các bài Toán từ cơ bản tới nâng cao, đi kèm với đó là đáp án. Tuy nhiên, nhiều đáp án không được giải chi tiết khiến cho các bạn học sinh gặp nhiều khó khăn khi tiếp xúc với dạng bài mới. VnDoc đã tổng hợp và gửi tới các bạn học sinh lời giải và đáp án chi tiết cho từng dạng bài tập trong Sách bài tập để các bạn có thể nắm vững, hiểu rõ hơn về dạng bài tập này. Mời các bạn học sinh tham khảo:
D. Bài tập Nguyên hàm
Để ôn tập lại kiến thức cũng như rèn luyện nâng cao hơn phần bài tập Giải tích 12 này, VnDoc xin gửi tới các bạn học sinh Tài liệu Công thức nguyên hàm Toán 12 do VnDoc biên soạn. Qua đó sẽ giúp các bạn học sinh hiểu sâu hơn và nắm rõ hơn lý thuyết cũng như bài tập của bài học này. Mời các bạn học sinh tham khảo:
------------------------------------
Trên đây VnDoc.com đã giới thiệu tới bạn đọc tài liệu: Toán 12 Bài 1: Nguyên hàm. Để có kết quả cao hơn trong học tập, VnDoc xin giới thiệu tới các bạn học sinh tài liệu Giải bài tập Toán lớp 12, Thi THPT Quốc gia môn Toán, Thi THPT Quốc gia môn Văn, Thi THPT Quốc gia môn Lịch sử mà VnDoc tổng hợp và đăng tải.