Câu hỏi trắc nghiệm môn Toán lớp 12: Hàm số lũy thừa - Hàm số mũ
Câu hỏi trắc nghiệm môn Toán lớp 12: Hàm số lũy thừa - Hàm số mũ
Câu hỏi trắc nghiệm môn Toán lớp 12: Hàm số lũy thừa - Hàm số mũ tổng hợp những dạng toán cơ bản về hàm số lũy thừa và hàm số mũ lớp 12, giúp các em ôn tập và chuẩn bị tốt nhất cho kỳ thi THPT Quốc gia theo xu hướng mới môn Toán thi theo hình thức trắc nghiệm. Mời các em cùng tham khảo chi tiết tại đây nhé.
- Câu hỏi trắc nghiệm môn Toán lớp 12: Bài toán tương giao
- Câu hỏi trắc nghiệm môn Toán lớp 12: Tiếp tuyến của đồ thị hàm số
- Câu hỏi trắc nghiệm môn Toán lớp 12: Hàm số lôgarit
- Trắc nghiệm môn Toán lớp 12: Lũy thừa - Hàm số lũy thừa
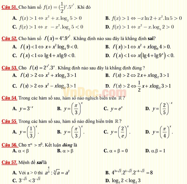
VnDoc.com xin gửi tới bạn đọc bài viết Câu hỏi trắc nghiệm môn Toán lớp 12: Hàm số lũy thừa - Hàm số mũ để bạn đọc cùng tham khảo. Bài viết được tổng hợp gồm có 60 câu hỏi trắc nghiệm về môn Toán lớp 12 phần hàm số lũy thừa, hàm số mũ. Bài tập có đáp án chi tiết kèm theo. Qua bài viết bạn đọc có thể luyện tập được tìm tập xác định của hàm số, tính đạo hàm của hàm số, luyện tập rút gọn biểu thức và các dạng bài tập tổng hợp... Mời các bạn cùng tham khảo chi tiết và tải về tại đây nhé.
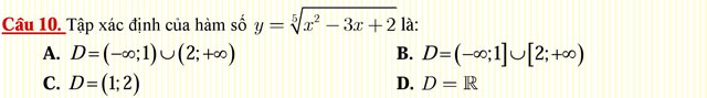
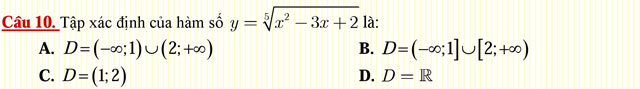
Tập xác định của hàm số mũ


Đạo hàm của hàm số mũ


Rút gọn biểu thức



Bài tập tổng hợp


ĐÁP ÁN
1D 2D 3C 4C 5A 6C 7D 8B 9A 10D
11B 12B 13A 14B 15D 16B 17D 18D 19D 20A
21D 22C 23A 24A 25D 26C 27B 28A 29B 30A
31A 32A 33D 34C 35B 36D 37A 38C 39D 40C
41C 42A 43B 44A 45A 46A 47B 48A 49A 50D
51C 52C 53A 54A 55B 56B 57A 58C 59C 60C
Trên đây VnDoc.com vừa giới thiệu tới các bạn Câu hỏi trắc nghiệm môn Toán lớp 12: Hàm số lũy thừa - Hàm số mũ, mong rằng qua bài viết này các bạn có thể học tập tốt hơn môn Toán lớp 12. Mời các bạn cùng tham khảo thêm các môn Ngữ văn 12, tiếng Anh 12, đề thi học kì 1 lớp 12, đề thi học kì 2 lớp 12...
Mời bạn đọc cùng tham gia nhóm Tài liệu học tập lớp 12 để có thêm tài liệu học tập nhé