Giải bài tập Toán 12 chương 3 bài 2: Phương trình mặt phẳng
Giải bài tập Toán 12 Hình học chương 3 bài 2
VnDoc.com xin giới thiệu tới các bạn học sinh lớp 12 tài liệu: Giải bài tập Toán 12 chương 3 bài 2: Phương trình mặt phẳng, tài liệu sẽ giúp các bạn học sinh học tập hiệu quả hơn môn Toán lớp 12 chương 3 bài 2. Mời các bạn và thầy cô tham khảo.
Giải bài tập Toán 12 chương 3 bài 1: Hệ tọa độ trong không gian
Giải bài tập Toán 12 chương 3 bài 3: Phương trình đường thẳng trong không gian
Câu hỏi trắc nghiệm Toán 12 chương 2: Mặt nón, mặt trụ, mặt cầu
Giải bài tập Toán 12 chương 2 bài 1: Khái niệm về mặt tròn xoay
Giải bài tập Toán 12 chương 3 bài 2: Phương trình mặt phẳng
Bài 1 (trang 80 SGK Hình học 12): Viết phương trình mặt phẳng:

Lời giải

Bài 2 (trang 80 SGK Hình học 12): Viết phương trình mặt phẳng trung trực của đoạn thẳng AB với A(2; 3; 7), B(4; 1; 3)
Lời giải:

Bài 3 (trang 80 SGK Hình học 12):
a) Lập phương trình của các mặt phẳng tọa độ Oxy, Oyz và Ozx
b) Lập phương trình của các mặt phẳng đi qua điểm M(2; 6; -3) và lần lượt song song với các mặt phẳng tọa độ.
Lời giải:

Bài 4 (trang 80 SGK Hình học 12): Lập phương trình mặt phẳng:
a) Chứa trục Ox và điểm P (4; -1; 2)
b) Chứa trục Oy và điểm Q (1; 4; -3)
c) Chứa trục Oz và điểm R (3; -4; 7)
Lời giải:

Bài 5 (trang 80 SGK Hình học 12): Cho tứ diện có các đỉnh là A(5; 1; 3), B(1; 6; 2), C(5; 0; 4), D(4; 0; 6)
a) Hãy viết phương trình của các mặt phẳng (ACD) và (BCD)
b) Hãy viết phương trình mặt phẳng (α) đi qua cạnh AB và song song với cạnh CD.
Lời giải:

Bài 6 (trang 80 SGK Hình học 12): Hãy viết phương trình mặt phẳng (α) đi qua điểm M(2; -1; 2) và song song với mặt phẳng (β) : 2x – y + 3z + 4 = 0
Lời giải:
Vì mặt phẳng (α) song song với mặt phẳng ( β) : 2x – y + 3z + 4 = 0 nên phương trình của mp(α) có dạng 2x – y + 3z + D =0
Vì M(2; -1; 2) ∈ mp(α) nên 4 + 1 + 6 + D = 0 <=> D = -11
Vậy phương trình của mp(α) là: 2x – y + 3z - 11= 0
Bài 7 (trang 80 SGK Hình học 12): Lập phương trình mặt phẳng (α) qua hai điểm A(1; 0; 1), B(5; 2; 3) và vuông góc với mặt phẳng ( β) : 2x – y + z – 7 = 0
Lời giải:

Bài 8 (trang 81 SGK Hình học 12): Xác định các giá trị của m và n để mỗi cặp mặt phẳng sau đây là một cặp mặt phẳng song song với nhau;
a) 2x + my + 3z – 5 = 0 và nx – 8y – 6z + 2 =0
b) 3x – 5y + mz – 3 = 0 và 2x + ny – 3z + 1 = 0
Lời giải:

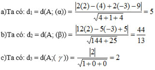
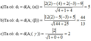
Bài 9 (trang 81 SGK Hình học 12): Tính khoảng cách từ điểm A(2; 4; -3) lần lượt đến các mặt phẳng sau:
a) 2x – y + 2z – 9 = 0 (α)
b) 12x – 5z + 5 = 0 ( β)
c) x = 0 ( γ;)
Lời giải:

Bài 10 (trang 81 SGK Hình học 12): giải bài toán sau đây bằng phương pháp tọa độ:
Cho hình lập phương ABCD.A'B'C'D' có cạnh bằng 1.
a) Chứng minh hai mặt phẳng (AB'D') và (BC'D) song song.
b) Tính khoảng cách giữa hai mặt phẳng nói trên.
Lời giải:
