Giao diện mới của VnDoc Pro: Dễ sử dụng hơn - chỉ tập trung vào lớp bạn quan tâm. Vui lòng chọn lớp mà bạn quan tâm: Lưu và trải nghiệm
Đóng
Điểm danh hàng ngày
  • Hôm nay +3
  • Ngày 2 +3
  • Ngày 3 +3
  • Ngày 4 +3
  • Ngày 5 +3
  • Ngày 6 +3
  • Ngày 7 +5
Bạn đã điểm danh Hôm nay và nhận 3 điểm!
Nhắn tin Zalo VNDOC để nhận tư vấn mua gói Thành viên hoặc tải tài liệu Hotline hỗ trợ: 0936 120 169

Bài tập trắc nghiệm đường tiệm cận

Lớp: Lớp 12
Môn: Toán
Loại File: Word + PDF
Phân loại: Tài liệu Tính phí

Bài tập trắc nghiệm đường tiệm cận

Bài tập trắc nghiệm đường tiệm cận là tài liệu học tập hay được VnDoc.com giới thiệu tới quý thầy cô và các em cùng tham khảo. Với 15 câu hỏi trắc nghiệm môn Toán 12 về đường tiệm cận, hi vọng tài liệu này sẽ giúp các em ôn tập kiến thức hiệu quả, luyện thi trắc nghiệm môn Toán đạt thành tích tốt.

Để tiện trao đổi, chia sẻ kinh nghiệm về giảng dạy và học tập các môn học lớp 12, VnDoc mời các thầy cô giáo, các bậc phụ huynh và các bạn học sinh truy cập nhóm riêng dành cho lớp 12 sau: Nhóm Tài liệu học tập lớp 12. Rất mong nhận được sự ủng hộ của các thầy cô và các bạn.

Câu 1: Số đường tiệm cận của đồ thị hàm số Bài tập trắc nghiệm đường tiệm cận

A. 3 B. 2 C. 1 D. 4

Câu 2: Cho hàm số Bài tập trắc nghiệm đường tiệm cận. Đồ thị hàm số có tâm đối xứng là điểm

A. (1; 2) B. (2; 1) C. (1; -1) D. (-1; 1)

Câu 3: Cho hàm số Bài tập trắc nghiệm đường tiệm cận. Số tiệm cận của đồ thị hàm số bằng

A. 0 B. 1 C. 2 D. 3

Câu 4: Đồ thị hàm số Bài tập trắc nghiệm đường tiệm cận

A. Nhận điểm (-1/2; 1/2) là tâm đối xứng

B. Nhận điểm (-1/2; 2) làm tâm đối xứng

C. Không có tâm đối xứng

D. Nhận điểm (1/2; 1/2) làm tâm đối xứng

Câu 5: Cho đường cong (C): Bài tập trắc nghiệm đường tiệm cận. Tìm phương án đúng:

A. (C) chỉ có tiệm cận đứng B. (C) có tiệm cận xiên

C. (C) có hai tiệm cận D. (C) có ba tiệm cận

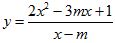
Câu 6: Để đồ thị hàm số Bài tập trắc nghiệm đường tiệm cận có tiệm cận xiên thì m phải thỏa mãn:

A. m ≠ ±2 B. m ≠ 0 C. m ≠ ±1 D. m ≠ ±4

Câu 7: Đồ thị hàm số y = x4 - x2 + 1 có bao nhiêu tiệm cận:

A. 0 B. 1 C. 3 D. 2

Câu 8: Đồ thị hàm số Bài tập trắc nghiệm đường tiệm cận có bao nhiêu tiệm cận:

A. 1 B. 3 C. 4 D. 2

Câu 9: Cho đường cong Bài tập trắc nghiệm đường tiệm cận (C) và 3 điểm A, B, C nằm trên (C) có hoành độ tương ứng là 1,35; - 0,28; 3,12. Giả sử d1, d2, d3 tương ứng là tích các khoảng cách từ A, B, C đến hai tiệm cận của (C). Lựa chọn đáp án đúng.

A.d_2 = 3\(d_2 = 3\) B. d_1 = 4\(d_1 = 4\)

C. d_3 = 5\(d_3 = 5\)

D. Cả ba phương án kia đều sai

Câu 10: Cho hàm số Bài tập trắc nghiệm đường tiệm cận có đồ thị (C ) có hai điểm phân biệt P, Q tổng khoảng cách từ P hoặc Q tới hai tiệm cận là nhỏ nhất. Khi đó PQ2 bằng:

A. 32 B. 50 C. 16 D. 18

Câu 11: Cho hàm số Bài tập trắc nghiệm đường tiệm cận có đồ thị (C). Đường thẳng y = m cắt (C) tại P, Q thì trung điểm E của đoạn thẳng PQ thuộc đường thẳng:

A. y = x + 1 B. y = 2x + 1 C. y = x - 1 D. y = 2x - 1

Câu 12: Hàm số nào có đồ thị nhận đường thẳng x = 2 làm đường tiệm cận:

Bài tập trắc nghiệm đường tiệm cận

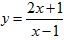
Câu 13: Cho hàm số Bài tập trắc nghiệm đường tiệm cận. Đồ thị hàm số có tiệm cận xiên bên trái là:

A. y = 5x + 8 B. y = 4x + 8 C. y = 4x + 5 D. y = 4x

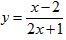
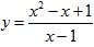
Câu 14: Phương trình các đường tiệm cận của đồ thị hàm số Bài tập trắc nghiệm đường tiệm cận là:

A. y = 1 và x = -2 B. y = x + 2 và x = 1 C. y = 1 và x = 1 D. y = -2 và x = 1

Câu 15: Số đường tiệm cận của đồ thị hàm số Bài tập trắc nghiệm đường tiệm cận là:

A. 1 B. 2 C. 3 D. 0

Câu 16: Cho hàm số y=\frac{3x+1}{1-2x}\(y=\frac{3x+1}{1-2x}\). Khẳng định nào sau đây đúng?

A. Hàm số có tiệm cận ngang y=1\(y=1\)

B. Hàm số có tiệm cận đứng là x=1\(x=1\)

C. Hàm số có tiệm cận ngang là y=-\frac{3}{2}\(y=-\frac{3}{2}\)

D. Hàm số không có tiệm cận

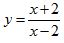
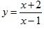
Câu 17: Cho hàm số y=\frac{x-3}{x+1}\(y=\frac{x-3}{x+1}\) có đồ thị (C). Khẳng định nào sau đây đúng?

A. Đồ thị (C) có tiệm cân đứng là x=-1\(x=-1\) và tiệm cận ngang là y=1\(y=1\)

B. Đồ thị (C) có tiệm cân đứng là x=1\(x=1\) và tiệm cận ngang là y=-1\(y=-1\)

C. Đồ thị (C) có tiệm cân đứng là x=-1\(x=-1\) và tiệm cận ngang là y=3\(y=3\)

D. Đồ thị (C) có tiệm cân đứng là x=3\(x=3\) và tiệm cận ngang là y=-1\(y=-1\)

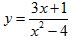
Câu 18: Cho hàm số y=\frac{2x+2}{{{x}^{2}}-4}\(y=\frac{2x+2}{{{x}^{2}}-4}\). Khẳng định nào sau đây sai?

A. Đồ thị hàm số có hai tiệm cận đứng

B. Đồ thị hàm số có 3 tiệm cận

C. Đồ thị hàm số có 1 tiệm cận ngang

D. Đồ thị hàm số không có tiệm cận ngang

Câu 19: Số đường tiệm cận của đồ thị hàm số y=\frac{{{x}^{2}}-2x-11}{12x}\(y=\frac{{{x}^{2}}-2x-11}{12x}\)

A. 1 B. 2 C. 3 D. 4

Câu 20: Tìm tất cả các giá trị của tham số m sao cho đồ thị hàm số y={{x}^{4}}-2m{{x}^{2}}+2m+{{m}^{4}}\(y={{x}^{4}}-2m{{x}^{2}}+2m+{{m}^{4}}\) có 3 điểm cực trị tạo thành một tam giác đều

A. m=0\(A. m=0\) B. m=1\(B. m=1\) C. m=\sqrt[3]{3}\(C. m=\sqrt[3]{3}\) D. m=-\sqrt[3]{3}\(D. m=-\sqrt[3]{3}\)

--------------------------------------------------------------------

Trên đây VnDoc.com đã giới thiệu tới bạn đọc tài liệu: Bài tập trắc nghiệm đường tiệm cận. Để có kết quả cao hơn trong học tập, VnDoc xin giới thiệu tới các bạn học sinh tài liệu Giải bài tập Toán lớp 12, Thi THPT Quốc gia môn Toán, Thi THPT Quốc gia môn Văn, Thi THPT Quốc gia môn Lịch sử mà VnDoc tổng hợp và đăng tải.

Chọn file muốn tải về:
Đóng Chỉ thành viên VnDoc PRO/PROPLUS tải được nội dung này!
Đóng
79.000 / tháng
Đặc quyền các gói Thành viên
PRO
Phổ biến nhất
PRO+
Tải tài liệu Cao cấp 1 Lớp
30 lượt tải tài liệu
Xem nội dung bài viết
Trải nghiệm Không quảng cáo
Làm bài trắc nghiệm không giới hạn
Mua cả năm Tiết kiệm tới 48%

Có thể bạn quan tâm

Xác thực tài khoản!

Theo Nghị định 147/2024/ND-CP, bạn cần xác thực tài khoản trước khi sử dụng tính năng này. Chúng tôi sẽ gửi mã xác thực qua SMS hoặc Zalo tới số điện thoại mà bạn nhập dưới đây:

Số điện thoại chưa đúng định dạng!
Số điện thoại này đã được xác thực!
Bạn có thể dùng Sđt này đăng nhập tại đây!
Lỗi gửi SMS, liên hệ Admin
Sắp xếp theo
🖼️

Toán 12

Xem thêm
🖼️

Gợi ý cho bạn

Xem thêm