Giao diện mới của VnDoc Pro: Dễ sử dụng hơn - chỉ tập trung vào lớp bạn quan tâm. Vui lòng chọn lớp mà bạn quan tâm: Lưu và trải nghiệm
Đóng
Điểm danh hàng ngày
  • Hôm nay +3
  • Ngày 2 +3
  • Ngày 3 +3
  • Ngày 4 +3
  • Ngày 5 +3
  • Ngày 6 +3
  • Ngày 7 +5
Bạn đã điểm danh Hôm nay và nhận 3 điểm!
Nhắn tin Zalo VNDOC để nhận tư vấn mua gói Thành viên hoặc tải tài liệu Hotline hỗ trợ: 0936 120 169

Bài tập trắc nghiệm phương trình tiếp tuyến của đồ thị hàm số (Có đáp án)

Lớp: Lớp 12
Môn: Toán
Loại File: PDF + Word
Phân loại: Tài liệu Tính phí

Bài tập trắc nghiệm phương trình tiếp tuyến của đồ thị hàm số

Năm 2021, Bộ Giáo dục tổ chức thi tốt nghiệp, xét tuyển đại học với bài thi trắc nghiệm môn Toán gồm 50 câu. Trước khi luyện tập với đề mẫu được Bộ GD&ĐT đưa ra vào đầu tháng 10 tới, mời các bạn cùng tham khảo Bài tập trắc nghiệm phương trình tiếp tuyến của đồ thị hàm số có đáp án đi kèm. Mời các bạn cùng tham khảo chi tiết tại đây nhé.

VnDoc.com xin gửi tới bạn đọc bài viết Bài tập trắc nghiệm phương trình tiếp tuyến của đồ thị hàm số (Có đáp án) để bạn đọc cùng tham khảo. Bài viết được tổng hợp gồm có 24 câu hỏi trắc nghiệm về phương trình tiếp tuyến của đồ thị hàm số. Bài tập có đáp án và lời giải chi tiết kèm theo. Bài viết cho bạn luyện tập cách tính hệ số góc, cách tính tiếp tuyến của hàm số... Mời các bạn cùng tham khảo chi tiết và tải về tại đây nhé.

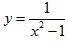
Câu 1: Hệ số góc của tiếp tuyến của đồ thị hàm số Bài tập trắc nghiệm phương trình tiếp tuyến của đồ thị hàm số (Có đáp án) tại điểm có hoành độ x0 = -1 bằng

A. – 2 B. 2 C. 0 D. Đáp số khác

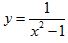
Câu 2: Hệ số góc của tiếp tuyến của đồ thị hàm số Bài tập trắc nghiệm phương trình tiếp tuyến của đồ thị hàm số (Có đáp án) tại giao điểm của đồ thị hàm số với trục tung bằng:

A. – 2 B. 2 C. 1 D. – 1

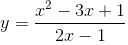
Câu 3: Tiếp tuyến của đồ thị hàm số Bài tập trắc nghiệm phương trình tiếp tuyến của đồ thị hàm số (Có đáp án) tại điểm có hoành độ x0 = 1 có phương trình

A. y = -x - 3 B. y = -x + 2 C. y = x - 1 D. y = x + 2

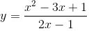
Câu 4: Tiếp tuyến của đồ thị hàm số Bài tập trắc nghiệm phương trình tiếp tuyến của đồ thị hàm số (Có đáp án) tại điểm A(1/2; 1) có phương trình

A. 2x - 2y = -1 B. 2x - 2y = 1 C. 2x + 2y = 3 D. 2x + 2y = -3

Câu 5: Hoành độ tiếp điểm của tiếp tuyến song song với trục hoành của đồ thị hàm số Bài tập trắc nghiệm phương trình tiếp tuyến của đồ thị hàm số (Có đáp án) bằng

A. -1 B. 0 C. 1 D. Đáp số khác

Câu 6: Tiếp tuyến của đồ thị hàm số Bài tập trắc nghiệm phương trình tiếp tuyến của đồ thị hàm số (Có đáp án) tại giao điểm của đồ thị hàm số với trục tung có phương trình

A. y = x - 1 B. y = x + 1 C. y = x D. y = -x

Câu 7: Tiếp tuyến của đồ thị hàm số Bài tập trắc nghiệm phương trình tiếp tuyến của đồ thị hàm số (Có đáp án) có hệ số góc k = – 9 có phương trình

A. y = -9x - 43 B. y = -9x + 43 C. y = -9x - 11 D. y = -9x - 27

Câu 8: Cho đồ thị (C) của hàm số y = xlnx. Tiếp tuyến của (C) tại M vuông góc với đường thẳng Bài tập trắc nghiệm phương trình tiếp tuyến của đồ thị hàm số (Có đáp án). Hoành độ của M gần nhất với số nào dưới đây:

A. 2 B. 4 C. 6 D. 8

Câu 9: Phương trình tiếp tuyến với đường cong (C): y = x2 - 3x + 2 tại điểm M thuộc (C) và xM = 1 là:

A. y = -x + 1 B. y = -x - 1 C. y = x + 1 D. y = x - 1

Câu 10: Cho parabol (P): y = -x2 + 4x. Hệ số góc của tiếp tuyến với (P) tại điểm A(1; 3) là

A. 2 B. – 2 C. 3 D. –3

(Còn tiếp)

Đáp án bài tập trắc nghiệm phương trình tiếp tuyến của đồ thị hàm số

1

A

6

A

11

C

16

C

21

D

2

B

7

C

12

B

17

A

22

B

3

A

8

D

13

B

18

C

23

A

4

C

9

A

14

A

19

A

24

A

5

A

10

A

15

B

20

D

 

 

Trên đây VnDoc.com vừa giới thiệu tới các bạn Bài tập trắc nghiệm phương trình tiếp tuyến của đồ thị hàm số (Có đáp án), mong rằng qua bài viết này các bạn có thể học tập tốt hơn môn Toán lớp 12. Mời các bạn cùng tham khảo thêm các môn Ngữ văn 12, tiếng Anh 12, đề thi học kì 1 lớp 12, đề thi học kì 2 lớp 12...

Mời bạn đọc cùng tham gia nhóm Tài liệu học tập lớp 12 để có thêm tài liệu học tập nhé

Chọn file muốn tải về:
Đóng Chỉ thành viên VnDoc PRO/PROPLUS tải được nội dung này!
Đóng
79.000 / tháng
Đặc quyền các gói Thành viên
PRO
Phổ biến nhất
PRO+
Tải tài liệu Cao cấp 1 Lớp
30 lượt tải tài liệu
Xem nội dung bài viết
Trải nghiệm Không quảng cáo
Làm bài trắc nghiệm không giới hạn
Mua cả năm Tiết kiệm tới 48%

Có thể bạn quan tâm

Xác thực tài khoản!

Theo Nghị định 147/2024/ND-CP, bạn cần xác thực tài khoản trước khi sử dụng tính năng này. Chúng tôi sẽ gửi mã xác thực qua SMS hoặc Zalo tới số điện thoại mà bạn nhập dưới đây:

Số điện thoại chưa đúng định dạng!
Số điện thoại này đã được xác thực!
Bạn có thể dùng Sđt này đăng nhập tại đây!
Lỗi gửi SMS, liên hệ Admin
Sắp xếp theo
🖼️

Toán 12

Xem thêm
🖼️

Gợi ý cho bạn

Xem thêm