Giải bài tập Toán 12 ôn tập chương 3: Phương pháp tọa độ trong không gian
Giải bài tập Toán 12 Hình học ôn tập chương 3
Để giúp các bạn học sinh lớp 12 ôn tập hiệu quả môn Toán chương 3, VnDoc.com đã tổng hợp những bài tập trong SGK trang 91, 92, 93 kèm theo lời giải chi tiết, chắc chắn sẽ giúp các bạn học sinh học tập tốt hơn môn Toán. Mời các bạn và thầy cô tham khảo.
Giải bài tập Toán 12 chương 3 bài 1: Hệ tọa độ trong không gian
Giải bài tập Toán 12 chương 3 bài 2: Phương trình mặt phẳng
Giải bài tập Toán 12 chương 3 bài 3: Phương trình đường thẳng trong không gian
Câu hỏi trắc nghiệm Toán 12 chương 3: Phương pháp tọa độ trong không gian
Giải bài tập Toán 12 ôn tập chương 3: Phương pháp tọa độ trong không gian
Bài 1 (trang 91 SGK Hình học 12): Cho bốn điểm A(1; 0; 0), B(0; 1; 0), C(0; 0; 1), D(-2; 1; -1)
a) Chứng minh A, B, C, D là bốn đỉnh của một tứ diện.
b) Tìm góc giữa hai đường thẳng AB và CD
c) Tính độ dại đường cao của hình chóp A.BCD
Lời giải:

Bài 2 (trang 91 SGK Hình học 12): Cho mặt cầu (S) có đường kính là AB biết rằng A(6; 2; -5), B(-4; 0; 7)
a) Tìm tọa độ tâm I và bán kính r của mặt cầu (S).
b) Lập phương trình của mặt cầu (S).
c) Lập phương trình của mặt phẳng (α) tiếp xúc với mặt cầu (S) tại điểm A
Lời giải:

Bài 3 (trang 92 SGK Hình học 12): Cho bốn điểm A(-2; 6; 3), B(1; 0; 6), C(0; 2; -1), D(1; 4; 0)
a) Viết phương trình mặt phẳng (BCD). Suy ra ABCD là một tứ diện.
b) Tính chiều cao AH của tứ diện ABCD.
c) Viết phương trình mặt phẳng (α) chứa AB và song song với CD.
Lời giải:

Bài 4 (trang 92 SGK Hình học 12): Lập phương trình tham số của đường thẳng:

Lời giải

Bài 5 (trang 92 SGK Hình học 12): Cho mặt cầu(S) có phương trình (x – 3)2 + (y + 2)2 + (z – 1)2 = 100 và mặt phẳng (α) có phương trình 2x – 2y – z + 9 = 0. Mp(α) cắt mặt cầu (S) theo một đường tròn (C). Hãy xác định tọa độ tâm và tính bán kính của đường tròn (C).
Lời giải:

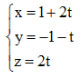
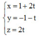
Bài 6 (trang 92 SGK Hình học 12): Cho mặt phẳng (α) có phương trình: 3x + 5y - z - 2 = 0 và đường thẳng d có phương trình:

Lời giải

Bài 7 (trang 92 SGK Hình học 12): Cho đường thẳng d có phương trình

Bài 8 (trang 93 SGK Hình học 12): Viết phương trình mặt phẳng (α) tiếp xúc với mặt cầu (S):

Lời giải

Bài 9 (trang 93 SGK Hình học 12): Tìm tọa độ điểm H là hình chiếu vuông góc của điểm M(1; -1; 2) trên mặt phẳng (α): 2x – y + 2z + 11 = 0.
Lời giải:

Bài 10 (trang 93 SGK Hình học 12): Cho điểm M(2; 1; 0) và mặt phẳng (α): x + 3y – z – 27 = 0. Tìm tọa độ điểm M' đối xứng với M qua (α).
Lời giải:

Bài 11 (trang 93 SGK Hình học 12): Viết phương trình đường thẳng Δ vuông góc với mặt phẳng tọa độ Oxz và cắt hai đường thẳng:

Lời giải

Bài 12 (trang 93 SGK Hình học 12): Tìm tọa độ điểm A' đối xứng với điểm A(1; -2; -5) qua đường thẳng có phương trình

Lời giải
