Câu hỏi trắc nghiệm Toán 12 chương 3: Phương pháp tọa độ trong không gian
Câu hỏi trắc nghiệm Toán 12 Hình học chương 3
Để giúp các bạn học sinh lớp 12 ôn tập hiệu quả môn Toán chương 3, VnDoc xin giới thiệu tới các bạn tài liệu: Câu hỏi trắc nghiệm Toán 12 chương 3: Phương pháp tọa độ trong không gian. Mời các bạn học sinh và thầy cô tham khảo.
Giải bài tập Toán 12 chương 3 bài 1: Hệ tọa độ trong không gian
Giải bài tập Toán 12 chương 3 bài 2: Phương trình mặt phẳng
Giải bài tập Toán 12 chương 3 bài 3: Phương trình đường thẳng trong không gian
Câu hỏi trắc nghiệm Toán 12 chương 3: Phương pháp tọa độ trong không gian
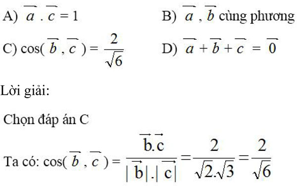
Bài 1 (trang 94 SGK Hình học 12): Trong các mệnh đề sau, mệnh đề nào sai?

Bài 2 (trang 94 SGK Hình học 12): Trong các mệnh đề sau, mệnh đề nào đúng?

Bài 3 (trang 94 SGK Hình học 12): Cho hình bình hành có

Lời giải:
Chọn đáp án A.
Ta có: A(-1; 1; 0) và B( 1; 1; 0)
Gọi I là tâm của hình bình hành OADB. Khi đó I là trung điểm của đoạn thẳng AB. Vậy I(0; 1; 0).
Trong không gian Oxyz cho bốn điểm A(1; 0; 0), B(0; 1; 0), C(0; 0; 1), D(1; 1; 1). Sử dụng giả thiết này để trả lời các câu hỏi 4,5,6 sau đây:
Bài 4 (trang 94 SGK Hình học 12): Trong các mệnh đề sau, mệnh đề nào sai?
A) Bốn điểm A, B, C, D tạo thành một tứ diện.
B) Tam giác ABD là tam giác đều.
C) AB ⊥ CD.
D) Tam giác BCD là tam giác vuông.
Lời giải:

Bài 5 (trang 95 SGK Hình học 12):

Bài 6 (trang 95 SGK Hình học 12): Mặt cầu ngoại tiếp tứ giác ABCD có bán kính bằng:

Bài 7 (trang 95 SGK Hình học 12): Cho mặt phẳng (α) đi qua điểm M(0; 0; -1) và song song với giá của hai vectơ ...

Bài 8 (trang 95 SGK Hình học 12): Cho ba điểm A(0; 2; 1), B(3; 0; 1), C(1; 0; 0). Phương trình mặt phẳng (ABC) là:
A) 2x – 3y – 4z + 2 = 0
B) 2x + 3y – 4z – 2 = 0
C) 4x + 6y – 8z + 2 = 0
D) 2x – 3y – 4z + 1 = 0
Lời giải:

Bài 9 (trang 95 SGK Hình học 12): Gọi (α) là mặt phẳng cắt ba trục tọa độ tại ba điểm M(8; 0; 0), N(0; -2; 0), P(0; 0; 4). Phương trình của (α) là:

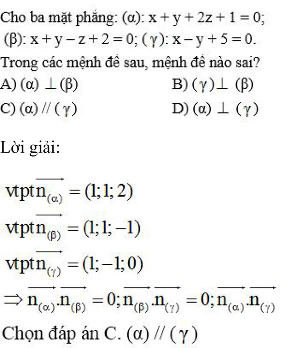
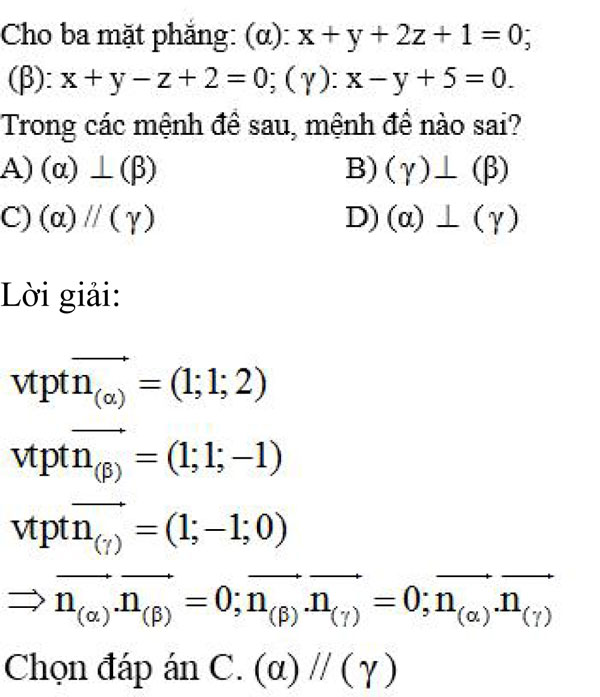
Bài 10 (trang 95 SGK Hình học 12): Cho ba mặt phẳng ...

Bài 11 (trang 96 SGK Hình học 12): Cho đường thẳng đi qua điểm M(2; 0; -1) và có vecto chỉ phương a = (4; -6; 2). Phương trình tham số của đường thẳng Δ là:

Bài 12 (trang 96 SGK Hình học 12): Cho d là dường thẳng đi qua điểm A(1; 2; 3) và vuông góc với mặt phẳng(α): 4x + 3y – 7z + 1 =0. Phương trình tham số của d là:

Bài 13 (trang 96 SGK Hình học 12): Cho hai đường thẳng d1 = ...

Bài 14 (trang 97 SGK Hình học 12): Cho mặt phẳng (α): 2x + y + 3z + 1 = 0 và đường thẳng d có phương trình tham số:

Bài 15 (trang 97 SGK Hình học 12): Gọi S là mặt cầu tâm I(2; 1; -1) và tiếp xúc với mặt phẳng (α) có phương trình: 2x - 2y - z + 3 = 0. Bán kính của (S) bằng:
