Giải bài tập Toán 12 chương 3 bài 3: Phương trình đường thẳng trong không gian
Giải bài tập Toán 12 Hình học chương 3 bài 3
VnDoc.com xin giới thiệu tới các bạn học sinh lớp 12 tài liệu: Giải bài tập Toán 12 chương 3 bài 3: Phương trình đường thẳng trong không gian, tài liệu sẽ giúp các bạn học sinh rèn luyện cách giải nhanh các bài tập trong SGK trang 90, 91. Mời các bạn học sinh và thầy cô tham khảo.
Giải bài tập Toán 12 chương 3 bài 1: Hệ tọa độ trong không gian
Giải bài tập Toán 12 chương 3 bài 2: Phương trình mặt phẳng
Giải bài tập Toán 12 ôn tập chương 3: Phương pháp tọa độ trong không gian
Giải bài tập Toán 12 chương 3 bài 3: Phương trình đường thẳng trong không gian
Bài 1 (trang 89 SGK Hình học 12): Viết phương trình tham số của đường thẳng d trong mỗi trường hợp sau:

Lời giải

Bài 2 (trang 89 SGK Hình học 12): Viết phương trình tham số của đường thẳng là hình chiếu vuông góc của đường thẳng

Lời giải

Bài 3 (trang 90 SGK Hình học 12): Xét vị trí tương đối các cặp đường thẳng d và d' cho bởi các phương trình sau:

Lời giải

Bài 4 (trang 90 SGK Hình học 12): Tìm a để hai đường thẳng sau đây cắt nhau:

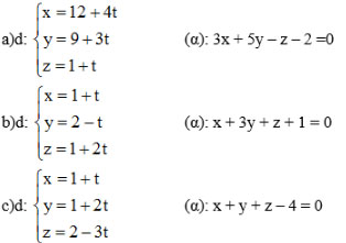
Bài 5 (trang 90 SGK Hình học 12): Xét vị trí tương đối của đường thẳng d với mặt phẳng (α) trong các trường hợp sau:

Lời giải

Bài 6 (trang 90 SGK Hình học 12): Tính khoảng cách giữa đường thẳng ...

Lời giải

Bài 7 (trang 91 SGK Hình học 12): Cho điểm A(1; 0; 0) và đường thẳng ...

Lời giải

Bài 8 (trang 91 SGK Hình học 12): Cho điểm M(1; 4; 2) và mặt phẳng (α): x + y + z – 1 = 0
a)Tìm tọa độ điểm H là hình chiếu vuông góc của điểm M trên mặt phẳng (α).
b)Tìm tọa độ điểm M' đối xứng với M qua mặt phẳng (α).
c)Tính khoảng cách từ M đến mp(α).
Lời giải:

Bài 9 (trang 91 SGK Hình học 12): Cho hai đường thẳng d:

Bài 10 (trang 91 SGK Hình học 12): Giải bài toán sau đây bằng phương pháp tọa độ. Cho hình lập phương ABCD.A'B'C'D' có cạnh bằng 1. Tính khoảng cách từ đỉnh A đến các mặt phẳng (A'BD) và (B'D'C).
Lời giải:
