Trắc nghiệm Toán 12 chương 1: Giá trị lớn nhất và giá trị nhỏ nhất của hàm số
Trắc nghiệm Toán 12 chương 1 có đáp án
VnDoc.com xin giới thiệu tới bạn đọc tài liệu: Trắc nghiệm Toán 12 chương 1: Giá trị lớn nhất và giá trị nhỏ nhất của hàm số, tài liệu gồm 21 câu hỏi trắc nghiệm kèm theo đá án và lời giải chi tiết sẽ giúp các bạn học sinh giải bài tập Toán 12 một cách nhanh nhất. Mời các bạn học sinh và thầy cô tham khảo chi tiết tại đây nhé.
- Trắc nghiệm Toán 12 chương 1: Sự đồng biến, nghịch biến của hàm số
- Lý thuyết Toán 12 chương 1: Cực trị của hàm số
- Lý thuyết Toán 12 chương 1: Giá trị lớn nhất và giá trị nhỏ nhất của hàm số
- Trắc nghiệm Toán 12 chương 1: Đường tiệm cận
VnDoc.com xin gửi tới bạn đọc bài viết Trắc nghiệm Toán 12 chương 1: Giá trị lớn nhất và giá trị nhỏ nhất của hàm số để bạn đọc cùng tham khảo. Bài viết được tổng hợp gồm có 21 câu hỏi trắc nghiệm về giá trị lớn nhất và giá trị nhỏ nhất của hàm số. Bài tập có đáp án và lời giải chi tiết kèm theo. Mời các bạn cùng tham khảo chi tiết và tải về tại đây nhé.
Trắc nghiệm Toán 12 chương 1: Giá trị lớn nhất và giá trị nhỏ nhất của hàm số
Câu 1: Giá trị lớn nhất của hàm số f(x) = -x2 + 4 là:
A. 0
B. 4
C.2
D. Không có đáp án.
Câu 2: Giá trị lớn nhất của hàm số
\(y\ =\ 5\ -\ \frac{1}{\left(x-1\right)^2}\) đạt được khi x nhận giá trị bằng:
A. 1
B. 5
C. 0
D. Không có đáp án.
Câu 3: Giá trị lớn nhất của hàm số y = x(5 - 2x)2 trên [0; 3] là:
A. 0
B. 125/27
C. 250/27
D. 250/3
Câu 4: Giá trị lớn nhất của hàm số

Câu 5: Một công ti quản lí chuẩn bị xây dựng một khu chung cư mới. Họ tính toán nếu tòa nhà có x căn hộ thì chi phí bảo trì của tòa nhà là: C(x) = 4000 - 14x + 0,04x2. Khu đất của họ có thể xây được tòa nhà chứa tối đa 300 căn hộ. Hỏi họ nên xây dựng tòa nhà có bao nhiêu căn hộ để chi phí bảo trì của tòa nhà là nhỏ nhất?
A. 150
B.175
C. 300
D.225
Câu 6: GTLN của hàm số y = -x2 + 4x + 7 đạt được khi x bằng:
A. 11
B. 4
C. 7
D. 2
Câu 7: GTLN của hàm số
\(y=\frac{x+1}{\sqrt{x^2+1}}\) trên khoảng (0; 4) đạt được?
A. x = 1
B. x = -1
C. x = √2
D. Không tồn tại
Câu 8: Tìm GTLN của hàm số
\(y\ =\ x\ -\sqrt{x^2+1}\)
A. 0
B. +∞
C. Không tồn tại
D. Không có đáp án
Câu 9: Một hành lang giữa hai tòa tháp có hình dạng một hình lăng trụ đứng. Hai mặt bên ABB’A’ và ACC’A’ là hai tấm kính hình chữ nhật dài 20m, rộng 5m. Với độ dài xấp xỉ nào của BC thì thể tích hành lang này lớn nhất?
A. 6m
B. 7m
C. 8m
D. 9m.

Câu 10: Tìm GTNN của hàm số y = x2 - 3x + 5
A. 3/2
B. 11/4
C. 3
D. 5
Câu 11: GTLN của hàm số y = sin2x - √3cosx trên đoạn [0; π] là?
A. 1
B. 7.4
C. 2
D. 1/4
Câu 12: GTNN của hàm số y = x3 + 3x2 - 9x + 1 trên đoạn [-4;4] là?
A. 0
B. 1
C. 4
D. -1
Câu 13: GTLN của hàm số y = x4 - 8x2 + 16 trên đoạn [-1;3] là?
A. 0
B. 15
C. 25
D. 30
Câu 14: GTNN của hàm số y = x/(x+2) trên nửa khoảng (-2;4] là?
A. 0
B. 1
C.2/3
D. Không tồn tại
Câu 15: GTNN của hàm số y = x + 2 + 1/(x - 1) trên khoảng (1; +∞) là?
A. Không tồn tại
B. 3/2
C. 2
D = 7/4
Câu 16: GTLN của hàm số y = 2sinx + cos2x trên đoạn [0; π] là?
A. 1
B. 3/2
C. 2
D. 7/4
Câu 17: Cho hàm số y = f(x) xác định và liên tục trên R và có bảng biến thiên. Khẳng định nào sau đây là khẳng định đúng?

A. Hàm số có đúng một cực trị.
B. Hàm số có giá trị cực tiểu bằng 1.
C. Hàm số có giá trị lớn nhất và giá trị nhỏ nhất bằng -1.
D. Hàm số đạt cực đại tại x = 0 và cực tiểu tại x
Câu 18: Xét hàm số
\(y\ =\ \frac{x^2}{x-1}\)
Trong các khẳng định sau, khẳng định nào là đúng?
A. Hàm số có giá trị lớn nhất bằng 4.
B. Hàm số có giá trị cực đại bằng 4
C. Hàm số có giá trị lớn nhất bằng 0.
D. Hàm số có giá trị cực đại bằng 0
Câu 19: Cho tấm nhôm hình vuông cạnh 12cm. Người ta cắt ở bốn góc của tấm nhôm đó bốn hình vuông bằng nhau, mỗi hình vuông có cạnh bằng x (cm), rồi gập tấm nhôm lại như hình vẽ bên để được một cái hộp không nắp. Với giá trị nào của x thì hộp nhận được có thể tích lớn nhất?

A. 6
B. 4
C.3
D.2
Câu 20: Khu chung cư Royal City có 250 căn hộ cho thuê. Nếu người ta cho thuê x căn hộ thì lợi nhuận hàng tháng, tính theo triệu đồng, được cho bởi:
P(x) = -8x2 + 3200x - 80000
Hỏi lợi nhuận tối đa họ có thể đạt được là bao nhiêu?
A. 150000
B. 220000
C. 240000
D. 250000
Câu 21: Một nhà máy sản xuất được 60000 sản phẩm trong một ngày và tổng chi phí sản xuất x sản phẩm được cho bởi:
\(C\left(x\right)=\ 250000+0,08x+\frac{200000000}{x}\)
Hỏi nhà máy nên sản xuất bao nhiêu sản phẩm mỗi ngày để chi phí sản xuất là nhỏ nhất?
A. 30000
B. 40000
C. 50000
D.60000
Hướng dẫn giải và đáp án trắc nghiệm Toán 12 chương 1
| 1-B | 2-D | 3-C | 4-D | 5-B |
| 6-D | 7-A | 8-C | 9-B | 10-B |
| 11-B | 12-A | 13-C | 14-D | 15-B |
| 16-B | 17-D | 18-D | 19-D | 20-C |
| 21-C |
Câu 1:
Tập xác định: D = R. Ta có:

Do đó giá trị lớn nhất của hàm số f(x) là 4 đạt được khi x = 0.
Chọn đáp án B.
Câu 2:
Tập xác định: D = R \ {1}
Ta có f(x) ≤ 5, ∀ x ∈ D. Tuy nhiên khi
F(x) - 5 ⇒ 1/ (x - 1)2 - 0
=> không tồn tại x thỏa mãn. Do đó hàm số không có giá trị lớn nhất.
Chọn đáp án D.
Câu 3:
y' = (5 - 2x)(5 - 6x) => y' = 0

Vậy GTLN của hàm số trên [0; 3] là 250/27 đạt được khi x = 5/6. Chọn đáp án C.
Câu 4:
Chọn đáp án D.
Chú ý. Cần phân biệt giá trị lớn nhất của hàm số và cực đại của hàm số.
Câu 5:
Ta có x là số căn hộ. Rõ ràng x phải thỏa mãn điều kiện 0 ≤ x ≤ 300. Chi phí bảo trì tòa nhà C(x) = 4000 - 14x + 0,04x2
Ta phải tìm 0 ≤ xo ≤ 300 sao cho C(xo) có giá trị nhỏ nhất.
Ta có C'(x) = -14 + 0,08x, 0 ≤ x ≤ 300. C'(x) = 0 <=> x = 175
Trên đoạn [0; 300] ta có C(0) = 4000; C(175) = 2775; C(300) = 3400
Từ đó ta thấy C(x) đạt giá trị nhỏ nhất khi x = 175.
Chọn đáp án B.
Câu 6:
y' = -2x + 4 = 0 <=> x = 2
Chọn đáp án D.

Chú ý. Cần phân biệt GTLN của hàm số (max y) với giá trị x để hàm số đạt được GTLN.
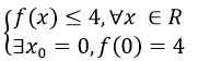
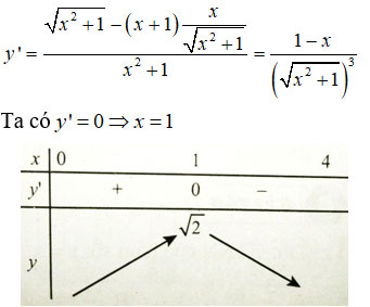
Câu 7:
Xét

Ta có y' = 0 => x = 1
Vậy hàm số có GTLN bằng √2 khi x = 1.
Chọn đáp án A.
Câu 8:
Tập xác định R.

Hàm số không có GTLN trên R .
Chọn đáp án C.
Câu 9:
Thể tích hình lăng lớn nhất khi và chỉ khi diện tích ΔABC lớn nhất.
Gọi độ dài BC là x (m). Kẻ AH ⊥ BC.

Bài toán đưa về tìm x ∈ (0; 10)) để hàm số y = x√(100-x2) có giá trị lớn nhất.

Hàm số đạt giá trị lớn nhất tại x = 5√2 ≈ 7.
Chọn đáp án B.
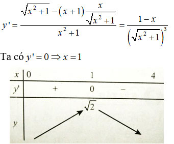
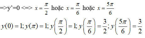
Câu 11:
Xét hàm số y = sin2x - √3cosx trên đoạn [0; π]
y' = 2sinxcosx + √3sinx = sinx(2cosx + √3) .
=>y’=0 <=> x=0 hoặc x = π hoặc x = 5π/6 .
y(0) = -√3; y(π) = √3; y(5π/6) = 7/4
Câu 12:
Xét hàm số y = x3 + 3x2 - 9x + 1 trên đoạn [-4;4].
Ta có y' = 3x2 + 6x - 9 => y' = 0
⇒ x = 1; x = -3
y(1) = -4, y(-3) = 28; y(4) = 77; y(-4) = 21
Câu 13:
Xét hàm số y = x4 - 8x2 + 16 trên đoạn [-1;3]
y' = 4x3 - 6x
y' = 0 ⇔ x = 0; x = 2
y(0) = 16, y(2) = 0; y(-1) = 9; y(3) = 25
Câu 14:
Xét hàm số

Hàm số không có GTNN
Câu 15:
Xét hàm số

Giá trị nhỏ nhất của hàm số là y = 5.
Câu 16:
Xét hàm số y=2sin x + cos 2x trên đoạn
y’=2cos x- 2sin 2x = 2cos x(1- 2sin x)

Giá trị nhỏ nhất của hàm số này là y = 3/2 .
Câu 17:
Dựa vào định nghĩa, hàm số không tồn tại giá trị lớn nhất. Hàm số đạt cực đại tại x=0 và cực tiểu tại x=1.
Câu 18:
Hàm số

Hàm số không tồn tại giá trị lớn nhất. Hàm số có giá trị cực đại bằng 0.
Câu 19:
Thể tích hình hộp là y = x(12 - 2x)2
Bài toán đưa về tìm x ∈ (0; 6) để hàm số y = x(12 - 2x)2 có giá trị lớn nhất.
y' = 12x2 - 96x + 144; y' xác định ∀x ∈ (0; 6)

Hàm số đạt giá trị lớn nhất tại x=2
Câu 20:
Ta có x ∈ (0; 250) ,P’(x) = -16x+3200.
Khi đó P’(x)=0 <=> -8x+3200=0 <=> x = 400 (loại).
Do đó lợi nhuận tối đa họ thu được là P(250)=240000.
Câu 21:
Ta có x ∈ (0; 250)

<=> x = 50000, P''(50000) > 0
Nên x=50000 là số sản phẩm cần sản xuất mỗi ngày để tối thiểu chi phí.
Trên đây VnDoc.com vừa giới thiệu tới các bạn Trắc nghiệm Toán 12 chương 1: Giá trị lớn nhất và giá trị nhỏ nhất của hàm số, mong rằng qua bài viết này các bạn có thể học tập tốt hơn môn Toán lớp 12. Mời các bạn cùng tham khảo thêm các môn Ngữ văn 12, tiếng Anh 12, đề thi học kì 1 lớp 12, đề thi học kì 2 lớp 12...
Mời bạn đọc cùng tham gia nhóm Tài liệu học tập lớp 12 để có thêm tài liệu học tập nhé