Giải Toán 12 Giải tích bài tập ôn tập cuối năm
Giải Toán 12 bài tập ôn tập cuối năm
Để giúp các bạn học sinh lớp 12 học tập hiệu quả hơn môn Toán, VnDoc.com đã tổng hợp bộ câu hỏi bài tập kèm theo đáp án phần giải tích chắc chắn các bạn học sinh sẽ học tập tốt hơn môn Toán. Mời các bạn và thầy cô tham khảo tài liệu: Giải Toán 12 Giải tích bài tập ôn tập cuối năm.
Bài tập Toán 12 Giải tích câu hỏi ôn tập cuối năm
Giải bài tập Toán 12 chương 4 bài 2: Cộng, trừ và nhân số phức
Bài 1 (trang 145 SGK Giải tích 12): Cho hàm số f(x)=ax2-2(a+1)x+a+2 (a ≠ 0)
a) Chứng tỏ rằng phương trình f(x)=0 luôn có nghiệm thực. Tính các nghiệm đó.
b) Tính tổng S và tích P của các nghiệm của phương trình f(x) = 0. Khảo sát sự biến thiên và vẽ đồ thị của S và P theo a.
Lời giải:



Bài 2 (trang 145 SGK Giải tích 12): Cho hàm số

Bài 3 (trang 146 SGK Giải tích 12): Cho hàm số y = x3 + ax2 + bx+1

a) Tìm a và b để đồ thị của hàm số đi qua hai điểm: A(1;2)và B(-2;-1).
b) Khảo sát sự biến thiên và vẽ đồ thị (C) của hàm số ứng với các giá trị tìm được của a và b.
c) Tính thể tích vật thể tròn xoay thu được khi quay hình phẳng giới hạn bởi các đường y = 0, x = 0, x = 1 và đồ thị (C) xung quanh trục hoành.
Lời giải:

Bài 4 (trang 146 SGK Giải tích 12): Xét chuyển động thẳng được xác định bởi phương trình:
\(S\ \left(t\right)\ =\ \frac{1}{4}t^4\ -\ t^3\ +\frac{t^2}{2}\ -\ 3t\)
Trong đó t được tính bằng giây và S được tính bằng mét.
a) Tính v(2), a(2), biết v(t), a(t) lần lượt là vận tốc và gia tốc chuyển động đã cho.
b) Tìm thời điểm t mà tại đó vận tốc bằng 0.
Lời giải:
Theo ý nghĩa cơ học của đạo hàm ta có:
v(t)=s'(t)=t3-3t2+t-3
v(2)=23-3.22+2-3=-5 (m/s)
a(t)=v'(t)=s''(t)=3t2-6t+1
a(2)=3.22-6.2+1=1 (m/s2)
v(t)=t3-3t2+t-3=0
(t-3)(t1+1)=0 => t = 3
Vậy thời điểm to=3s thì vận tốc bằng 0.
Bài 5 (trang 146 SGK Giải tích 12): Cho hàm số y = x4 + a4 + b
a) Tính a, b để hàm số cực trị bằng 3/2 khi x =1.
b) Khảo sát sự biến thiên và vẽ đồ thị (C ) của hàm số đã cho khi:
a=-1/2,b=1
c) Viết phương trình tiếp tuyến của (C ) tại các điểm có tung độ bằng 1.
Lời giải:


Bài 6 (trang 146 SGK Giải tích 12):
Cho hàm số
\(y\ =\ \frac{x-2}{x+m-1}\)
a) Khảo sát sự biến thiên và vẽ đồ thị (C ) của hàm số khi m = 2.
b) Viết phương trình tiếp tuyến d của đồ thi (C ) tại điểm M có hoành độ a ≠ -1.
Lời giải:

Bài 7 (trang 146 SGK Giải tích 12): Cho hàm số
\(y\ =\ \frac{2}{2-x}\)
a) Khảo sát sự biến thiên và vẽ đồ thị (C ) của hàm số đã cho.
b) Tìm giao điểm của (C ) và đồ thị hàm số y=x2+1. Viết phương trình tiếp tuyến của (C ) tại mỗi giao điểm.
c) Tính thể tích vật tròn xoay thu được khi hình phẳng H giới hạn bởi đồ thị (C ) và các đường thẳng y = 0; x = 1 xung quanh trục Ox.
Lời giải:

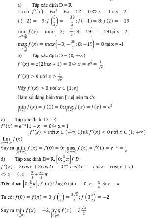
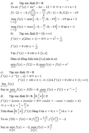
Bài 8 (trang 147 SGK Giải tích 12): Tìm giá trị lớn nhất và nhỏ nhất của hàm số:

Lời giải

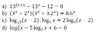
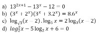
Bài 9 (trang 147 SGK Giải tích 12): Giải các phương trình sau:

Lời giải

Bài 10 (trang 147 SGK Giải tích 12): Giải các bất phương trình sau:

Lời giải

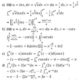
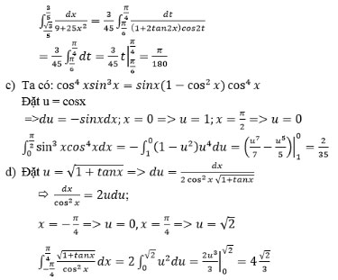
Bài 11 (trang 147 SGK Giải tích 12): Tính các tích phân sau bằng phương pháp tích phân từng phần:

Lời giải

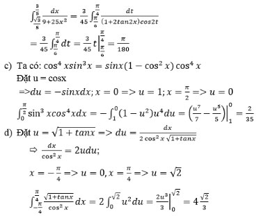
Bài 12 (trang 147 SGK Giải tích 12): Tính các tích phân sau bằng phương pháp đổi biến số:


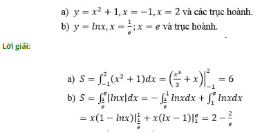
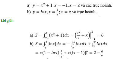
Bài 13 (trang 148 SGK Giải tích 12): Tính diện tích hình phẳng giới hạn bởi các đường:

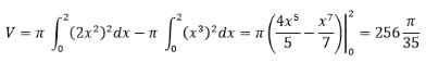
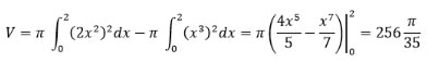
Bài 14 (trang 148 SGK Giải tích 12): Tìm thể tích vật thể tròn xoay thu được khi quay hình phẳng giới hạn bởi các đường y = 2x2 và y = x3 xung quanh trục Ox.
Lời giải:
Ta có: 2x2 = x3 ⇔ x2 (2 - x) = 0 ⇔ x = 0 và x = 2
Hoành độ giao điểm của hai đường cong là: x = 0 và x =2
Bởi vì 2x2=x3=x2 (2-x)≥0 với x≤2 nên đường cong y=2x2 nằm trên đường cong y=x3 trong khoảng (0; 2). Do đó thể tích cần tính là:

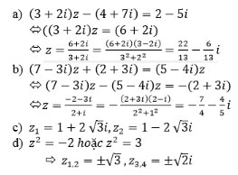
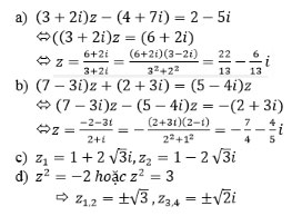
Bài 15 (trang 148 SGK Giải tích 12): Giải các phương trình sau trên tập số phức:
(3+2i)z-(4+7i)=2-5i
(7-3i)z+(2+3i)=(5-4i)z
z2-2z+13=0
z4-z2-6=0
Lời giải:

Bài 16 (trang 148 SGK Giải tích 12): Trên mặt phẳng tọa độ, hãy tìm tập hợp các điểm biểu diễn số phức z thỏa mãn từng bất đẳng thức:
a) |z| < 2
b) |z - i| ≤ 1
c) |z - 1 - i| < 1
Lời giải:
a) Tập hợp các điểm M(x; y) của mặt phẳng tọa độ biểu diễn số phức z = x + yi thỏa mãn điều kiện:
|z|<2 ⇔ √(x2+y2)<2 ⇔ x2+y2<4
Các điểm M(x; y) như vậy nằm trong đường tròn có tâm O bán kính bằng 2 không kể các điểm trên đường tròn.
b) Giả sử z=x+yi=>z-i=z+(y-1)i
|z-1|≤1 ⇔ √(x2 (y-1)2)≤1 ⇔ x2+(y-1)2≤1
Tập hợp tất cả các điểm biểu diễn các số phức thỏa mãn |z – 1|≤1 là các điểm của hình tròn tâm (0; 1) bán kính bằng 1 kể cả biên.
c) z=x+yi=>z-1-i=(x-1)+(y-1)i
|z-1-i|<1 ⇔ (x-1)2+(y-1)2<1
Tập hợp các điểm đang xét là các điểm của hình tròn (không kể biên) tâm (1;1), bán kính bằng 1.